摘要:2014年一級建造師礦業工程實務真題及答案搜集整理如下:
2014年一級建造師礦業工程實務真題及答案搜集整理如下:
一.單選題
1.礦井定向就是( )
A.確定井下巷道的方向,
B.將礦區地面平面坐標系統傳遞到井下,
C.進行兩個立井的貫通測量 ,
D.采用水準測量導入平面坐標系統,
答案:B
解析:P3,將礦區地面平面坐標系統和高程系統傳遞到井下的測量,稱為聯系測量。平面聯系測量也簡稱為定向。高程聯系測量也簡稱為導入高程。顧名思義,聯系測量就是使地面和井下測量控制網采用同一坐標系統。
此題考核基本概念。
2.關于礦圖中等高線和地質構造的認識,正確的是( )。
A.等高線發生彎曲表示礦體傾角發生變化
B.**等高線缺失可能是出現逆斷層
C.有陷落柱構造可能造成底板等高線缺失
D.褶曲使等高線更加密集
答案:C
解析:P26。等高線發生彎曲表示礦體走向發生變化。等高線密集程度發生變化,表示礦體傾角發生變化。
如巖板等高線發生彎曲,一般說明是有褶曲構造;如巖層底板等高線出現中斷或錯開,則可能是由于陷落柱.斷層等到地質構造而引起的。
正斷層表現為等高線缺失;逆斷層表現為等高線重疊,重疊部分為上下盤同一層巖體的重疊區。
3.關于混凝土的說法,正確的( )。
A.混凝土拌合時必須摻入一定量的外加劑
B.符合標準的生活飲用水可拌制各種混凝土
C.良好的骨料級配有利于控制混凝土的質量,但不利于節約水泥
D.泵送混凝土宜選用細砂
答案:B
解析:P25,在混凝土拌合時或拌合前還可以摻入一定量的外加劑,以改善混凝土的性能。良好的骨料級配是控制混凝土質量.便于施工又節省水泥的重要條件。
P26,一般符合標準的生活飲用水,可直接用于拌制各種混凝土。
對于泵送混凝土用砂,宜選用中砂。
此題綜合性較強。
4.采用礦物密度(比重)分選礦物的方法是( )。
A.重選法
B.浮選法
C.化學分選法
D.磁選法
答案:A
解析:P50,重選法是根據礦物相對密度(過去稱比重)的差異來分選礦物。
浮選即泡沫浮選,是經浮選藥劑處理,使有用礦物選擇性地附著在氣泡上,達到分選的目的。
其他兩種選法教材沒有介紹。不是正確選項。
5.適用于處理砂土和粉土地基的方法是( )。
A.灰土樁法
B.振沖密實法
C.粉煤灰碎石樁法
D砂石樁法
答案:B
解析:P66-67,灰土樁適用于處理地下水位以上,含水是量不超過25%.厚度5—15m厚的混陷性黃土或人工填土地基。
振沖密實法適用于處理砂土和粉土等地基。
砂石樁法對松散的砂土效果最明顯,對素填土.雜填土.粉土次之;淤泥質粉質黏土短期內效果不明顯,但后續效果會提高;對靈敏度高的軟黏性土,效果較差。
粉煤灰碎石樁法與砂石樁法適用條件類似。
此題綜合性強,在B.D兩選項之間較難確定。
6.關于微差爆破的說法,錯誤的是( )。
A.能增加單位炸藥消耗量
B.可降低爆炸產生的地震效應
C.能減少拋擲使用
D.可實現巷道全斷面一次爆破
答案:A
解析:P81,微差爆破具有以下優點:1.增加了巖石的破碎作用,降低了單位炸藥消耗量;2.能夠降低爆破產生的地震效應,防止對井巷圍巖或地面建筑造成破壞;3.減小了拋擲作用,爆堆集中,防止崩壞支架或其他設備,有利于提高裝巖效率;4.在有瓦斯與煤塵工作面采用微差爆破,可實現全斷面一次爆破,縮短爆破和通風時間,提高掘進速度。
此題較簡單,多次練習。為傳統題型。
7.關于露天礦爆破,說法正確的是( )。
A.連續裝藥結構有利于臺階爆破的塊度均勻
B.間隔裝藥結構便于機械化裝藥
C.底部空氣墊層裝藥結構有利于提高爆破質量
D.臺階爆破一般采用最小抵抗線作為爆破參數設計的依據
答案:C
解析:P86-87
1.連續裝藥結構沿臺階高度炸藥分布不均勻,會造成破碎塊度不均勻.大塊率高.爆堆寬度增大和出現“根底”。
2.間隔裝藥結構不便于機械化裝藥。
3.底部空氣墊層裝藥結構有利于提高爆破質量。
4.為了克服爆破時的最大阻力,避免臺階底部出現“根底”,一般都采用底盤抵抗線為爆破參數設計的依據,這是露天礦爆破中的一個重要參數。
8.直徑5.5m,孔深530m混合作業施工配套設備正確的是( )。
A.1臺中心回轉抓巖機,配3m3吊桶雙鉤提升
B.2臺中心回轉抓巖機,配3 m3吊桶單鉤提升
C.2臺中心回轉抓巖機,配3 m3吊桶雙鉤提升
D.1臺中收回轉抓巖機,配5 m3吊桶雙鉤提升
答案:A
解析:P109
此題在材料中涉及不多,有實際經驗此題較簡單。沒有經驗的學員可用排除法也可選出正確的答案。
9.在工業廣場或附近并列設有風井.主副井進風,風井回風,這種通風方式是( )。
A.中央并列式
B.中央邊界式
C.中央對角式
D.側翼對角式
答案:A
解析:P92,此題較簡單,知識點比較清楚,為傳統題型。已多次練習。
10.關于澆筑混凝土井壁的施工要求,說法正確的是( )
A.**
B.裝配式鋼模板高度不宜超過1.2m
C.采用短段掘砌脫模時混凝土強度不得小于1.0MPa
D.**
答案:B
解析:P112,澆筑式混凝土井壁施工要求:2.裝配式鋼模板高度不宜超過1.2m;9.脫模時的混凝土強度,采用滑升模板時,應為0.05-0.25 MPa;采用短段掘砌時,應為0.7-1.0 MPa;采用其他模板時,不得小于1.0MPa。
輔導:2018年一建輔導培訓火熱招生中!網絡課堂+課程錄播+在線答疑+真題模擬 馬上點擊進入試聽>>
問題咨詢:可以撥打客服電話400-111-9811或點擊加入客服QQ為您詳細解答考試相關疑問 點此咨詢>>
{#page#}
11.為項目審批和以后招標工作需要,單項工程施工組織設計由( )編制,并由上級主管部門審批。
A.包分單位
B.總包單位
C.監理單位
D.建設單位
答案:D
解析:P144,單項工程(礦井)施工組織設計的編制主要分兩個階段進行。為滿足項目審批和以后的招標工作的需要,由建設單位編制單項工程(礦井)施工組織設計,其內容主要是著重于大的施工方案及總工期總投資概算的安排,對建設單位編制的施工組織設計由上級主管部門進行審批,一般在大規模開工前6個月完成。
12.礦業工程項目進度控制的關鍵是( )。
A.綜合平衡
B.優化工期
C.**
D.組織協調
答案:D
解析:P181,組織協調是實現有效進度控制實施的關鍵。
13.下列噴射混凝土厚度檢測的方法,較合理的是( )。
A.取芯法
B.激光測厚法
C.鑿方切割法
D.超聲測厚法
答案:A
解析:P221,噴射混凝土厚度檢測常用針探法.打孔尺量或取芯法。
鑿方切割法是檢測噴射混凝土強度取樣的方法。
測量噴射混凝土工程斷面規格尺寸的檢測方法有掛線盡量法.激光測距法.超聲波測距法等。
14.發生5人死亡事故,應由( )負責調查
A.發生事故的施工單位所在地市級人民政府
B.發生事故的施工單位所在地市級人民政府
C.事故發生地市級人民政府
D.事故發生地的省級人民政府
答案:C
解析:P232,根據《生產安全事故報告和調查處理條例》的規定,根據事故等級不同,事故調查分別由事故所在地所相應的省.市.縣級人民政府負責,并直接組織調查組進行調查,也可以授權或委托有關部門組織事故調查組進行調查。
此題已專設一道習題,對不同事故等級處理的級別進行了明確和講解。對認真聽課件的學員此題難度不大。
15.按照費用構成要素劃分,不屬于材料費的是( )。
A.材料運輸損耗費
B.配件采購及保管費
C.工程設備費用
D.檢驗試驗費
答案:D
解析:P287-288,《建筑安裝工程費用項目組成》(建標【2013】44號)文件。調整的主要內容:將工程原材料費中的檢驗試驗費列入企業管理費。
材料費:是指施工過程中耗費的原材料.輔助材料.構配件.零件.半成品或成品.工程設備的費用。內容包括:材料原價.運雜費.運輸損耗費.采購及保管費(含采購費.倉儲費.工地保管費.倉儲損耗)。
16.關于施工項目索賠,不合理的索賠理由是( )。
A.技術資料不確切
B.發生工程變更
C.季節性大雨
D.發包人延誤支付
答案:C
解析:P333,索賠理由包括發包人違反合同.發生工程變更(含承包人提出并經批準的變更).監理工程師對合同文件的歧義解釋.技術資料不確切.由于不可抗力導致施工條件的改變.發包人延誤支付等原因給承包人造成時間.費用損失等情況,均可提出索賠要求。
17.關天礦山企業特種作業人員,說法正確的是( )。
A.調換工種的人員上崗作業,必須重新培訓,考試合格
B.企業應對新進特種工作人員進行考試
C.企業女職工下井前應做安全思想工作
D.**
答案:A
解析:P366,《礦山安全法實施條例》規定,對調換工種和采用新工藝作業的人員,必須重新培訓,經考試合格后,方可上崗作業。
特種作業人員的考核,發證工作按照有關規定執行。
不得分配女職工從事礦山井下勞動。
18.礦山企業對安全衛生要求,正確的是( )
A.井下**
B.井下產塵點從控制塵源開始,采取綜合防塵土措施
C.運輸井巷每天用清水洗一次的規定
D.防塵供水應采用分散式供水
答案:B
解析:P392,防塵措施:1.井下產塵點,應采取綜合防塵措施,從抑制塵源開始。4.進風道及人行道.運輸巷道的巖壁,每季度至少清洗一次。5.防塵用水應采用集中供水方式。
19.下列不屬于防塵措施的是( )。
A.噴零灑水
B.液壓鑿井
C.干式捕塵
D.清洗巖壁
答案:B
解析:P250.P392
20.井筒凍結深度為( )的工程,屬于中型建設工程規模。
A.280 m
B.300m
C.320 m
D.350m
答案:A
解析:P397,立井凍結井筒≥300m為大型工程,<300m為中型工程。
輔導:2018年一建輔導培訓火熱招生中!網絡課堂+課程錄播+在線答疑+真題模擬 馬上點擊進入試聽>>
問題咨詢:可以撥打客服電話400-111-9811或點擊加入客服QQ為您詳細解答考試相關疑問 點此咨詢>>
{#page#}
二.多選題
21.下列關于水泥的說法,正確的有( )。
A.水泥是由水泥熟料.石膏和混合料磨細而成的一種水硬性膠凝材料。
B.水泥顆粒粒徑愈細,水化愈快,則其早期強度高,而后期強度較低。
C.初凝時間不符合規定的水泥屬于廢品。
D.水化熱對大體積混凝土工程是有益的。
E.在干燥環境中應優先選用粉煤灰水泥。
答案:AC
解析:
A.水泥是由水泥熟料.石膏和混合材磨細而成的一種水硬性膠凝材料。(P23)
B.水泥顆粒愈細,水化愈快,其早期強度和后期強度都較高。(P24)
C.初凝時間不符合規定的水泥屬于廢品.終凝時間不合格的是不合格品。(P24)
D.水泥的水化反應是放熱反應,放出的熱量稱為水化熱,水化熱對冬期混凝土施工則有益的,可促進水泥的水化進程。(P24)
E.在干燥環境中優先選用普通水泥。(P24水泥品種使用條件表)
22.井架的頂部結構主要包括( )。
A.天輪托架
B.卸矸槽
C.天輪起重架
D.防護欄桿
E.罐道
答案:ACD
解析:P42,井架的頭部結構直接承受提升運行荷載,包括有天輪托架.天輪平臺.天輪起重架及防護欄桿等。
23.關于工業場地填方與壓實施工的基本要求,說法正確的有( )。
A.填土的含水量應當是符合密實要求的最優含水量。
B.填土工作一般由場地最低部分開始。
C.土質松軟不符合要求的地方可換土處理。
D.填土時應將透水性大的土層置于透水性較小的土層之上。
E.人工填土每層虛鋪厚度約20-30cm。
答案:ABCE
解析:P53,填方的土質要求:1)填土的含水量應預先試驗,確定符合密實要求的最優含水量和最少夯實或碾壓遍數。2)應盡量用土質相同的土,土質不同時,應有規則的分層,將透水性大的土層置于透水性較小的土層之下。
基底處理:1)松軟不符合要求的地方應排水,或挖出換土處理。2)填土工作一般應由場地最低部分開始,自下而上分層鋪填.分層夯實,人工填土每層虛鋪厚度約20—30cm,機械填土可為30—50cm。
24.井下巷道爆破工作對炮眼布置的基本要求有( )。
A.炮眼要準.直.平.齊。
B.炮眼利用率要高。
C.爆破后對圍巖的破壞較小。
D.節省炸藥和雷管。
E.爆破后的巖石塊度小。
答案:BCD
解析:P82,鉆眼工作基本要求:1)炮眼利用率高,炸藥和其他爆破器材用量少。3)爆破后對圍巖的破壞小,對圍巖穩定的影響盡量小。4)爆破后的巖石塊度和堆積狀況適合于裝運機具施工,有較高的裝運效率。
25.某大型礦井,設計副井井筒為立井,該礦井的開拓方式可能是( )。
A.立井開拓
B.斜井開拓
C.多井開拓
D.平硐開拓
E.綜合開拓
答案:AE
解析:P90
26.加快礦業工程施工進度的技術措施包括( )。
A.優化施工方案,采用先進的施工技術。
B.改進施工工藝,縮短工藝的技術間隙時間。
C.增加輔助工程,創造多頭施工作業條件。
D.采用更先進的施工機械設備,加快施工進度。
E.加強綜合平衡,實現資源優化配置。
答案:ABD
解析:P189,加快礦業工程施工進度的技術措施:1)優化施工方案,采用先進的施工技術(A)。2)改進施工工藝,縮短工藝的技術間隙時間(B)。3)采用更先進的施工機械設備,加快施工進度(D)。
此題干擾項目有較強的迷惑性。
27.隱蔽工程質量檢驗評定所依據的工程質量檢查記錄應有( )的共同簽字。
A.建設單位(含監理)
B.施工單位
C.設計單位
D.質量監督部門
E.質量安全檢測單位
答案:AB
解析:P195,隱蔽工程在隱蔽前應由施工單位通知有關單位進行驗收,隱蔽工程質量檢驗評定,應以有建設單位(含監理)和施工單位雙方簽字的工程質量檢查記錄為依據。
28.對礦業施工中的工程,查處的事故隱患要做到( )。
A.定罰金
B.定領導責任
C.定整改責任人
D.定整改措施
E.定整改驗收人
答案:CDE
解析:P240,對查出的事故隱患要做到“四定”,即“定整改責任人.定整改措施.定整改完成時間.定整改驗收人”。
29.將按照礦產資源規劃以及( )要求,形成礦產資源開發利用的合理有序發展。
A.市場運行規劃
B.行業發展規劃
C.生產開發規劃
D.安全生產規劃
E.礦區總體規劃
答案:BCDE
解析:P363,根據國民經濟和社會發展規劃總部署,按照礦產資源規劃.行業發展規劃.生產開發規劃.安全生產規劃.礦區總體規劃,形成礦產資源開發.利用的合理有序發展。
此題較偏。
30.一級建造師礦業工程的建造內容包括( )。
A.立井
B.礦區公路和隧道
C.橋梁
D.輸發變電
E.礦山機電設備安裝
答案:AE
解析:P401,礦業工程專業注冊建造師執業范圍包括礦山、地基與基礎、土石方、高聳構筑物、消防設施、防腐保溫、環保、起重設備安裝、管道、預拌商品混凝土、混產土預制構件、鋼結構、建筑防水、爆破與拆除、隧道、窯爐、特種專業。
輔導:2018年一建輔導培訓火熱招生中!網絡課堂+課程錄播+在線答疑+真題模擬 馬上點擊進入試聽>>
問題咨詢:可以撥打客服電話400-111-9811或點擊加入客服QQ為您詳細解答考試相關疑問 點此咨詢>>
{#page#}
三、案例題
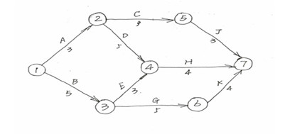
一
背景資料
某施工單位承擔一礦井采區巷道的施工任務,建設單位要求的工期為15個月,施工單位根據該礦井采區巷道的關系,編制了采區巷道施工網絡進度計劃(如圖1所示),安排了4個施工隊伍進行施工,各施工隊伍的施工內容分別為:甲隊A、C、J,乙隊:B、G、K,丙隊D、H,丁隊:E。

圖1采區巷道施工網絡進度計劃
監理單位在審查施工單位進度計劃時發現其施工隊伍安排不合理,建議只安排3個施工隊伍,將J隊的施工任務交由丙隊去完成,施工單位通過研究,采納了監理的意見。
在施工進行到12個月末檢查發現,甲隊施工進度超前,C工程已完成,且J工程已施工1個月,乙隊因遇含水地層施工進度拖延,G工程完成,K工程尚未開始,丙隊施工進度正常。
問題
1、施工單位編制的原網絡進度計劃計算工期是多少?為確保工期施工中應重點控制哪些工程?
2、針對監理單位的建議,施工單位應如何調整丙隊的施工任務安排?
3、針對G工程施工中出現的突出水事故,說明施工單位可獲得索賠的具體內容及理由。
4、乙隊施工進度發生拖延后,如果施工進度不變,考慮K工程可安排對頭掘進,則應當如何安排方能確保建設單位的施工工期要求?
答案
1、施工單位編制的原網絡進度計劃計算工期是15天。為確保工期施工中應重點控制A、C、J工程或答成①--②、②--⑤、⑤--⑦。
2、監理單位建議只安排3個施工隊伍,將J隊的施工任務交由丙隊去完成,故丙隊施工任務是D、E、H。施工順序為D—E—H。
3、針對G工程施工中出現的突出水事故,如在建設單位提供的地質資料中已明確,則施工單位不能索賠費用和工期。如在建設單位提供了地質資料中沒有明確,則可索賠。可索賠內容包括工期和費用。
原因是此突出水事故不是施工單位原因,所以給施工單位造成費用增加和工期損失是可以索賠的。
4、乙隊在12月末完成G工作,施工進度拖延2個月,乙隊獨立完成K工作(4個月),需工期16個月,比要求工期增加1個月。因甲隊可提前一個月完成任務,且K工作可對頭掘進。甲隊用1個月時間施工K工程。這樣乙隊用3個月完成K工程。總工期15個月不變。可滿足建設單位的施工工期要求。
輔導:2018年一建輔導培訓火熱招生中!網絡課堂+課程錄播+在線答疑+真題模擬 馬上點擊進入試聽>>
問題咨詢:可以撥打客服電話400-111-9811或點擊加入客服QQ為您詳細解答考試相關疑問 點此咨詢>>
{#page#}
二
背景資料
某煤礦一主要運輸大巷,采用錨桿噴射混凝土支護,設計錨桿的間排距為800×800mm,錨桿抗拔力70KN,噴射混凝土的強度等級為C20,厚度120mm。
施工過程中某檢查點A的質量檢測結果如表2所示。

該巷道在3月份驗收時分析檢查結果發現,噴射混凝土強度不合格出現2次,厚度不合格出現3次,平整度不合格出現20次,錨桿抗拔力不合格出現5次,錨桿間排距不合格出現12次,巷道斷面尺寸不合格出現8次。
施工單位在進行施工質量總結分析時還發現,噴射混凝土用水泥、骨料和添加劑無質量問題,但是噴射混凝土用量大大超過定額。
問題:
1、該工程噴射混凝土支護厚度及錨桿間排距的施工質量合格標準是什么?
2、分析說明檢查點A的噴射混凝土厚度與錨桿間排距施工質量是否合格?
3、依據排列圖法,具體說明影響該工程質量的主要因素和次要因素。
4、噴射混凝土用量大大超過定額可能存在的原因有哪些?
答案:
1、該工程為煤礦一主要運輸大巷,混凝土支護厚度質量合格標準是應達到設計要求,局部的厚度不應小于設計規定的90%;錨桿間排距誤差±100mm。
2、A噴射混凝土厚度檢測點8個,設計厚度120mm,按質量標準局部不得小于90%,即局部不得小于120mm×90%=108mm。A點檢測點數8個,其中第一點厚度100mm為不合格點,其他7個點均合格,合格率7/8=87.5%。根據《煤礦井巷工程質量驗收規范》GB50213-2010規定,合格率大于75%,且其余測點不影響安全使用。為合格。
錨桿間排距測點8個,第五、六兩測點不合格,合格率6/8=75%,大于規定70%,且其余點不影響安全使用,為合格。
3、(1)按照不合格出現次數的大小進行排列,并計算累計頻率,如下表A:
根據排列圖可以看出影響質量的主要因素是噴混凝土平整度、錨桿間排距、巷道斷面尺寸,其累計出現頻率在0-80%之間,次要因素為錨桿抗拔力,因為其累計頻率在80%-90%之間;一般因素是噴混凝土厚度、混凝土強度,因為其累計頻率在90%-100%之間。
4、由于水泥、骨料和添加劑均無質量問題,因此混凝土用量大大超定額主要是人為操作問題,其原因可能有:(1)配合比不當,(2)回彈量過大,(3)混凝土的粘接效果不好,噴層脫落等。
輔導:2018年一建輔導培訓火熱招生中!網絡課堂+課程錄播+在線答疑+真題模擬 馬上點擊進入試聽>>
問題咨詢:可以撥打客服電話400-111-9811或點擊加入客服QQ為您詳細解答考試相關疑問 點此咨詢>>
{#page#}
三
背景資料
某單位施工一膠帶大巷,巷道凈斷面22m2,長度2500m,采用錨噴支護。地質資料顯示膠帶大巷在840m—860m左右將穿過一斷層,斷層可能導水。設計單位要求巷道穿越斷層段增加U29鋼支架加強支護,鋼支架間距0.5m。
在巷道施工到835m時,施工單位發現巷道圍巖較穩定;施工到840m時,發現巷道圍巖逐漸破碎,巖幫有少量出水。施工技術負責人要求立即進行短掘短噴(支護),并按設計要求增加U29鋼支架支護。
在采用U29鋼支架支護時,為確保支架穩定,施工人員在柱腿底部用浮矸填平,并用拉桿將相鄰鋼支架連接牢固;同時,施工人員按現場質檢人員的要求,將支架頂部和幫部用背板背實。施工過程中,巷道出水情況一直比較穩定。
巷道施工穿越斷層后約一個月,當班班長發現833m—843m段巷道頂部噴射混凝土局部離層、開裂嚴重,于是立即安排一名工人留下進行處理,其余人員撤離該巷道,安排到其他巷道工作面施工。在處理過程中。發生冒頂事故,造成該工人死亡的安全事故。
問題
1、施工單位在穿越斷層前,應做好哪一項工作?簡要說明理由及具體的工作內容。
2、在穿越斷層和處理噴射混凝土施工質量問題中,施工單位的做法存在哪些不妥之處?
3、根據《生產安全事故報告和調查處理條例》該事故為哪一等級事故?說明理由。
4、該事故的責任應由施工單位哪些人員承擔?
答案
1、施工單位在穿越斷層前,應停止施工,確定探水線。由于此斷層可能導水,需由專業人員和專職隊伍使用專用鉆機進行探放水,經確認無水害威脅后,方可施工。
2、在穿越斷層施工中,存在不妥之處:(1)沒有嚴格執行“預測預報、有疑必探、先探后掘、先治后采”的規定;(2)施工單位技術負責人要求增加U29鋼支架支護時,沒有明確鋼支架間距的要求。(3)施工人員在樁腿底部用浮矸填平不符合有關規定,應該將支架柱窩挖到實底,當不能挖到實底上時,應有專門的措施。(4)沒有按穿越含水斷層的要求做好防、排水準備工作。
在處理噴射混凝土施工質量問題中存在不妥之處:(1)班長發現833m--843m段巷道頂部噴射混凝土局部離層、開裂嚴重,應立即報告調度室或有關主管人員。而不應擅自作處理決定。(2)安排一名工人進行處理,不符合有關安全規定。
3、根據《生產安全事故報告和調查處理條例》該事故屬一般事故。
因該起事故造成一人死亡,無人重傷,一千萬元以下直接經濟損失。
4、該事故責任應由施工單位技術負責人、現場質檢人員、班長、安全管理人員、施工管理人員,受害者本人也應承擔一定責任。
輔導:2018年一建輔導培訓火熱招生中!網絡課堂+課程錄播+在線答疑+真題模擬 馬上點擊進入試聽>>
問題咨詢:可以撥打客服電話400-111-9811或點擊加入客服QQ為您詳細解答考試相關疑問 點此咨詢>>
{#page#}
四
背景資料
某施工單位承擔一礦山立井井筒的施工任務,該立井井筒凈直徑6.5m,深度560m。其中表土段深度30m,井壁厚度650mm,采用井圈背板普通法施工。基巖段深度530m,井壁厚度500mm,混凝土強度等級為C30,采用普通鉆眼爆破法施工。施工單位編制了該井筒的施工組織設計,主要內容如下:
1、井筒施工方案:井筒表土段采用短掘短砌單行作業。基巖段采用短段掘砌混合作業,傘鉆打眼,炮眼深度4.0m,中心回轉抓巖機出渣,兩套單鉤吊桶提升,金屬整體伸縮式模板砌壁,段高3.5m。
2、井內施工設備:主提升為3m3吊桶,副提升為2m3吊桶;1臺FTD-6傘鉆和2臺HZ-6中心回轉抓巖機均懸掛在三層吊盤上;金屬伸縮式模板采用4根鋼絲繩地面鑿井絞車懸吊;混凝土溜灰管采用2根鋼絲繩地面鑿井絞車懸吊;壓風管、供水管、環境鋼風筒采用井壁固定;鑿井吊盤采用6根鋼絲繩懸吊;各種電纜按相關規定懸吊。
3、井筒施工組織:井筒安排專業施工隊伍實施滾班作業,掘進循環時間約24小時,月進尺不低于80m。
4、主要技術要求:井筒基巖施工必須采用光面爆破,裝巖提升全面實行機械化作業,采用溜灰管下放混凝土,脫模時混凝土強度不低于0.5MPa,井壁厚度偏差符合設計要求,建成后的井筒總漏水量不大于10.0m3/h,且不得小于1.0m3/h以上的集中出水孔。井筒施工期間采用激光指向儀定向。
該立井井筒施工組織設計編制完成后,上報相關部門進行審批,相關部門要求進行修改。施工單位及時進行了修改,最終獲得批準執行。
在井筒施工到深度520m時,吊盤工發現吊盤緊靠井筒一側且下放困難,于是報告項目經理。經檢查發現激光指向儀投點偏移井筒中心300mm,井筒偏斜100mm—400mm,高度約15m。
問題
1、該井筒基巖段施工方案是否可行?井筒施工設備布置存在哪些問題?
2、從安全方面考慮,該井筒井內施工設備還缺少哪些?說明理由。
3、該井筒施工的主要技術要求存在哪些問題?說明正確的技術要求。
4、采用溜灰管輸送混凝土時,對混凝土有何基本要求?
5、立井井筒施工現澆混凝土井壁施工質量檢查的主要內容是什么?
6、造成該井筒發生偏斜的可能原因有哪些?
答案
1、該井筒基巖段施工方案不可行。
存在如下問題:(1)炮眼深度與模板段高不合理,模板高度應等于炮眼深度或大于炮眼深度。(2)將傘鉆和2臺HZ-6中心回轉抓巖機均懸掛在三層吊盤上不可行,且布置2臺中心回轉抓巖機不合理。(3)金屬伸縮式模板不能用地面鑿井絞車懸吊,應用穩定懸吊。混凝土溜灰管采用2根鋼絲繩子地面鑿井絞車懸吊不合理,也應用穩定懸吊。(4)不必用玻璃鋼風筒,可采用壓入式通風,膠質風筒即可。(5)吊盤采用6根鋼絲繩懸吊不必要,增加了井筒及地面的設施布置難度。(6)采用滾班作業制,此作業方式不受24小時限制,確定掘進循環時間約24小時,與滾班作業矛盾。(7)脫模時混凝土強度不低于0.5MPa,不符合有關規定,應不低于0.7MPa。(8)該井筒深度560m,小于600m,因此建成后總漏水量應≤6m3/h,且不得有0.5m3/h以上的集中出水孔。施工組織設計中規定數值違反強制規定。
2、從安全考慮,施工設備缺少安全梯。
安全梯是井下出現停電、提升系統出現故障突發事故時人員撤離的設施,必須布置。
3、在砌壁混凝土強度要求(不低于0.5MPa),井筒建成后總漏水量要求(不大于10m3/h,且不得有1.0m3/h以上的集中出水孔)方面存在問題。
符合規定的要求是:因采用短段掘砌混合作業,脫模時混凝土強度應不低于0.7MPa;該井筒深度560m,小于600m,因此建成后總漏水量應≤6m3/h,且不得有0.5m3/h以上的集中出水孔。
4、對混凝土要求(1)混凝土入模溫度不低于5℃,(2)混凝土攪拌均勻,嚴格出現離板現象,(3)骨料粒徑不得超過規定,防止出現堵管情況,(4)配合比和坍落度、添加劑符合設計。
5、質量檢查主要內容(1)混凝土原材料(外加劑)、強度符合規范要求,(2)模板應符合設計,(3)斷面規格、厚度規格、鋼筋布置規格等尺寸偏差應符合驗收規范,壁厚充填材料符合設計要求,立井壁后充填密實。(4)防水、防滲混凝土應符合設計和相應規范要求。
6、可能原因(1)未按規定校正激光指向儀,(2)工作面與激光指向儀距離大,光點擴散面積大,造成誤差加大,(3)砌壁人員調中心不認真,立模時測量誤差過大。(4)澆筑混凝土時未對稱澆筑,造成一側擠壓,模板受力不均所致,(5)模板變形。
輔導:2018年一建輔導培訓火熱招生中!網絡課堂+課程錄播+在線答疑+真題模擬 馬上點擊進入試聽>>
問題咨詢:可以撥打客服電話400-111-9811或點擊加入客服QQ為您詳細解答考試相關疑問 點此咨詢>>
{#page#}
五
背景資料
某建設單位就一工業廠房工程編制了招標文件,招標文件中規定該工程投標報價執行《建設工程工程量清單計價規范》。經過對5家投標單位評標后,確定甲施工單位中標,建設單位與該中標單位簽訂了施工總承包合同。合同部分條款約定:本工程采用綜合單價計價模式,工程材料預付款為合同金額(扣除措施費和暫列金額)的10%。
在工程投標及施工過程中,發生下列事件:
事件一:在投標過程中,乙施工單位在投標總價基礎上下浮5%進行報價,并給出了書面說明。經評標小組核算后,發現該施工單位報的下浮部分包含有不可作業競爭性費用,最后給予廢標處理。
事件二:甲施工單位投標報價情況為:土石方工程清單工程量420m3,采用放坡開挖,定額工程量650m3,定額單價人工費為8.40元/m3,材料費為12.0元/m3,機械費1.60元/m3。分部分項工程清單費用合計為8200萬元,措施費項目清單合計為360萬元,其他項目清單合計為120萬元(其中:暫列金額為85萬元,總包服務費為30萬元,計日工費5萬元),規費為225.68萬元。該工程企業管理費費率為15%,利潤為5%,稅金為3.48%。
事件三:甲施工單位與建設單位簽訂施工總承包合同后,項目部技術負責人主持并組織編制了詳細施工組織設計,經該項目經理審批后報監理審核,組織實施。
事件四:在基坑開挖施工過程中,發現地質勘查報告中未顯示的大型報廢設備基礎。經施工單位及時與業主和監理協商,確定以爆破的方式進行拆除,項目部編制了拆除爆破方案。實施后發生費用12萬元,考慮管理費及利潤等綜合費用為14.4萬元,工期拖延7天,甲施工單位按照合同約定及時向建設單位遞交了索賠報告。
問題
1、事件一中,評標小組的做法是否合理?不可作業為競爭性費用項目分別是什么?
2、事件二中,甲施工單位所報的土方開挖分項工程綜合單價是多少(單位:元/m3)?,中標造價是多少萬元?工程預付款金額是多少萬元?
(需列式計算,計算結果保留小數點后兩位)
3、事件三中,施工單位的做法有哪些不妥之處?請給出正確的做法。
4、事件四中,拆除爆破方案設計應考慮哪些安全允許距離?施工單位的索賠內容有哪些?
答案:
1、合理,不可作業競爭性費用包括安全文明施工費、規費、稅金等。
2、土方分項工程綜合單價=(人工費+材料費+機械機+管理費+利潤)/清單工程量
人工費=650m3×8.40元/ m3=5460元
材料費=650m3×12.0元/ m3=7800元
機械費=650m3×1.60元/ m3=1040元
管理費=(人工費+材料費+機械費)×15%=(5460+7800+1040)×15%
=2145元
利潤=(人工費+材料費+機械費+管理費)×5%
=(5460+7800+1040+2145)×5%
=822.25
得土方分項工程綜合單價=(5460+7800+1040+2145+822.25)÷420
=41.11元/m3
中標造價=分部分項工程費+措施項目費+其他項目費+規費+稅金
=(8200萬元+360萬元+120萬元+225.68萬元)(1+3.48%)
=9215.60萬元.
工程材料預付款按合同部分條款約定,為合同金額扣除措施費和暫列金額的10%。
即工程材料預付款=(9215.60-360×1.0348-85×1.0348)×10%=875.51萬元。
3、該施工組織設計為總承包施工組織設計,不應由項目部技術負責人主持并組織編寫,也不應由項目經理審批。正確做法是由項目經理主持并組織編寫,報公司審核批準,由主管技術、質量、安全、經營、預算等部門審核,公司技術負責人批準。
4、拆除瀑破方案設計應考慮的安全允許距離包括:震動、沖擊波、個別飛散物,還應考慮次生災害影響。
施工單位可索賠內容有費用和工期兩項,可索賠費用14.4萬元,工期7天。
輔導:2018年一建輔導培訓火熱招生中!網絡課堂+課程錄播+在線答疑+真題模擬 馬上點擊進入試聽>>
問題咨詢:可以撥打客服電話400-111-9811或點擊加入客服QQ為您詳細解答考試相關疑問 點此咨詢>>
一級建造師備考資料免費領取
去領取
2026年一級建造師考試
具體時間待公布
專注在線職業教育24年