摘要:下面希賽軟考學院為您整理了2016年上半年軟件設計師考試真題上午卷,助你輕松備考。
獲得武功秘籍,修的一身好功夫,就能如魚得水般行走于江湖中。獲得軟考真題,取得命題方向,成功通過考試就游刃有余。下面希賽軟考網為您整理了2016年上半年軟件設計師考試真題上午卷,助你輕松備考。
2016年上半年軟件設計師考試真題上午卷第二部分
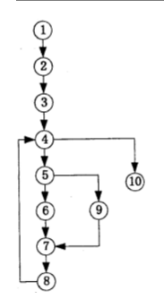
●進程P1、P2、P3、P4和P5的前趨圖如下圖所示:

若用PV操作控制進程P1、P2、P3、P4和P5并發執行的過程,則需要設置5個信號S1、S2、S3、S4和S5,且信號量S1~S5的初值都等于零。下圖中a和b處應分別填(26);c和d處應分別填寫(27);e和f處應分別填寫(28)。

A.V(S1)P(S2)和V(S3)
B.P(S1)V(S2)和V(S3)
C.V(S1)V(S2)和V(S3)
D.P(S1)P(S2)和V(S3)
(27)A.P(S2)和P(S4)
B.P(S2)和V(S4)
C.V(S2)和P(S4)
D.V(S2)和V(S4)
(28)A.P(S4)和V(S4)V(S5)
B.V(S5)和P(S4)P(S5)
C.V(S3)和V(S4)V(S5)
D.P(S3)和P(S4)V(P5)
●如下圖所示,模塊A和模塊B都訪問相同的全局變量和數據結構,則這兩個模塊之間的耦合類型為(29)耦合。

A. 公共
B.控制
C.標記
D.數據
●以下關于增量開發模型的敘述中,不正確的是(30)。
A.不必等到整個系統開發完成就可以使用
B.可以使用較早的增量構件作為原型,從而獲得稍后的增量構件需求
C.優先級較高的服務先交付,這樣最重要的服務接受最多的測試
D.有利于進行好的模塊劃分
●在設計軟件的模塊結構時,(31)不能改進設計質量。
A.模塊的作用范圍應在其控制范圍之內
B.模塊的大小適中
C.避免或減少使用病態連接(從中部進入或訪問一個模塊)
D.模塊的功能越單純越好
●軟件體系結構的各種風格中,倉庫風格包含一個數據倉庫和若干個其他構件。數據倉庫位于該體系結構的中心,其他構件訪問該數據倉庫并對其中的數據進行增、刪、改等操作。以下關于該風格的敘述中,不正確的是(32)。(33)不屬于倉庫風格。
A.支持可更改性和可維護性
B.具有可復用的知識源
C.支持容錯性和健壯性
D.測試簡單
A.數據庫系統
B.超文本系統
C.黑板系統
D.編譯器
●下圖(a)所示為一個模塊層次結構的例子,圖(b)所示為對其進行集成測試的順序,則此測試采用了(34)測試策略。該測試策略的優點不包括(35)。

A.自底向上
B.自頂向下
C.三明治
D.一次性
(35)A.較早地驗證了主要的控制和判斷點
B.較早地驗證了底層模塊
C.測試的并行程度較高
D.較少的驅動模塊和樁模塊的編寫工作量
●采用McCabe度量法計算下圖所示程序的環路復雜性為(36)。

(36)A.1
B.2
C.3
D.4
●在面向對象方法中,(37)是父類和子類之間共享數據和方法的機制。子類在原有父類接口的基礎上,用適合于自己要求的實現去置換父類中的相應實現稱為(38)。
(37)A.封裝
B.繼承
C.覆蓋
D.多態
(38)A.封裝
B.繼承
C.覆蓋
D.多態
●在UML用例圖中,參與者表示(39)。
A.人、硬件或其他系統可以扮演的角色
B.可以完成多種動作的相同用戶
C.不管角色的實際物理用戶
D.帶接口的物理系統或者硬件設計
●UML中關聯是一個結構關系,描述了一組鏈。兩個類之間(40)關聯。
A. 不能有多個
B. 可以有多個由不同角色標識的
C.可以有任意多個
D.的多個關聯必須聚合成一個
●如下所示的UML圖是(41),圖中(Ⅰ)表示(42),(Ⅱ)表示(43)。

(41)A.序列圖
B.狀態圖
C.通信圖
D.活動圖
(42)A.合并分叉
B.分支
C.合并匯合
D.流
(43)A.分支條件
B.監護表達式
C.動作名
D.流名稱
●為圖形用戶界面(GUI)組件定義不同平臺的并行類層次績構,適合采用(44)模式。
A.享元(Flyweight)
B.抽象工廠(Abstract Factory)
C.外觀(Facade))
D.裝飾器(Decorator)
●(45)設計模式將一個請求封裝為一個對象,從而使得可以用不同的請求對客戶進行參數化,對請求排隊或記錄請求日志,以及支持可撤銷的操作。
A. 命令(Command)
B.責任鏈(Chain of Responsibility)
C.觀察者(Observer)
D.策略(Strategy)
●(46)設計模式最適合用于發布/訂閱消息模型,即當訂閱者注冊一個主題后,此主題有新消息到來時訂閱者就會收到通知。
A. 適配器(Adapter)
B.通知(Notifier)
C.觀察者(Observer)
D.狀態(State)
●因使用大量的對象而造成很大的存儲開銷時,適合采用(47)模式進行對象共享,以減少對象數量從而達到較少的內存占用并提升性能。
A. 組合(Composite)
B.享元(Flyweight)
C.迭代器(Iterator)
D.備忘(Memento)
●移進--歸約分析法是編譯程序(或解釋程序)對高級語言源程序進行語法分析的一種方法,屬于(48)的語法分析方法。
A. 自頂向下(或自上而下)
B.自底向上(或自下而上)
C.自左向右
D.自右向左
●某確定的有限自動機(DFA)的狀態轉換圖如下圖所示(A是初態,C是終態),則該DFA能識別(49)。

A.aabb
B.abab
C.baba
D.Abba
●函數main()、f()的定義如下所示,調用函數f()時,第一個參數采用傳值(call by value)方式,第二個參數采用傳引用(call by reference)方式,main函數中“print(x)”執行后輸出的值為(50)。

A.1
B.6
C.11
D.12
>>>點擊查看2016年上半年軟件設計師考試上午真題答案與分析
>>>返回總目錄:2016年上半年軟件設計師考試真題上午卷匯總
相關推薦:
軟考備考資料免費領取
去領取
專注在線職業教育24年