摘要:以下為2014年系統架構設計師考試上午真題,包含綜合知識全部75個小題,更多軟考真題答案與解析,請進入希賽網在線題庫查看。
以下為2014年系統架構設計師考試上午真題,包含綜合知識全部75個小題:
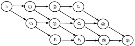
某計算機系統中有一個CPU、一臺輸入設備和一臺輸出設備,假設系統中有四個作業T1、T2、T3和T4,系統采用優先級調度,且T1的優先級>T2的優先級>T3的優先級>T4的優先級。每個作業具有三個程序段:輸入Ii、計算Ci和輸出Pi(i=1,2,3,4),其執行順序為Ii→Ci→Pi。這四個作業各程序段并發執行的前驅圖如下所示。圖中①、②、③分別為(1),④、⑤、⑥分別為(2)。

(1)A.I2、C2、C4
B.I2、I3、C2
C.C2、P3、C4
D.C2、P3、P4
(2)A.C2、C4、P4
B.I2、I3、C4
C.I3、P3、P4
D.C4、P3、P4
某文件系統文件存儲采用文件索引節點法。假設磁盤索引塊和磁盤數據塊大小均為1KB,每個文件的索引節點中有8個地址項iaddr[0]~iaddr[7],每個地址項大小為4字節,其中iaddr[0]~iaddr[5]為直接地址索引,iaddr[6]是一級間接地址索引,iaddr[7]是二級間接地址索引。如果要訪問icwutil.dll文件的邏輯塊號分別為0、260和518,則系統應分別采用(3)。該文件系統可表示的單個文件最大長度是(4)KB。
(3)A.直接地址索引、一級間接地址索引和二級間接地址索引
B.直接地址索引、二級間接地址索引和二級間接地址索引
C.一級間接地址索引、一級間接地址索引和二級間接地址索引
D.一級間接地址索引、二級間接地址索引和二級間接地址索引
(4)A.518
B.1030
C.16514
D.65798
設關系模式R(U,F),其中u為屬性集,F是U上的一組函數依賴,那么函數依賴的公理系統(Armstrong公理系統)中的合并規則是指(5)為F所蘊涵。
A.若A→B,B→C,則A→C
B.若Y⊆X⊆U,則X→Y
C.若A→B,A→C,則A→BC
D.若A→B,C⊆B,則A→C
若關系模式R和S分別為:R(A,B,C,D)、S(B,C,E,F),則關系R與S自然聯結運算后的屬性列有(6)個,與表達方式π1,3,5,6(σ3<6(R
S))等價的SQL語句為:
SELECT(7)FROM R,S WHERE(8);
(6)A.4
B.6
C.7
D.8
(7)A.A,R.C,E,F
B.A,C,S.B,S.E
C.A,C,S.B,S.C
D.R.A,R.C,S.B,S.C
(8)A.R.B=S.B AND R.C=S.C AND R.C<S.B
B.R.B=S.B AND R.C=S.C AND R.C<S.F
C.R.B=S.B OR R.C=S.C OR R.C<S.B
D.R.B=S.B OR R.C=S.C OR R.C<S.F
計算機采用分級存儲體系的主要目的是為了(9)。
A.解決主存容量不足的問題
B.提高存儲器讀寫可靠性
C.提高外設訪問效率
D.解決存儲的容量、價格和速度之間的矛盾
以下嵌入式處理器類型中不具備內存管理單元(MMU)的是(10),嵌入式操作系統(11)可以運行在它上面。
(10)A.PowerPC750
B.ARM920T
C.Cortex-M3
D.MIPS32 24K
(11)A.Linux
B.VxWorks653
C.uC/OS-II
D.Windows CE
以下關于嵌入式數據庫管理系統的描述不正確的是(12)。
A.嵌入式數據庫管理系統一般只為前端應用提供基本的數據支持
B.嵌入式數據庫管理系統一般支持實時數據的管理
C.嵌入式數據庫管理系統一般不支持多線程并發操作
D.嵌入式數據庫管理系統一般只提供本機服務接口
IETF定義的集成服務(IntServ)把Internet服務分成了三種服務質量不同的類型,這三種服務不包括(13)。
A.保證質量的服務:對帶寬、時延、抖動和丟包率提供定量的保證
B.盡力而為的服務:這是一般的Internet服務,不保證服務質量
C.負載受控的服務:提供類似于網絡欠載時的服務,定性地提供
D.突發式服務:如果有富余的帶寬,網絡保證滿足服務質量的需求
按照網絡分層設計模型,通常把局域網設計為3層,即核心層、匯聚層和接入層,以下關于分層網絡功能的描述中,不正確的是(14)。
A.核心層設備負責數據濾、策略路由等功能
B.匯聚層完成路由匯總和協議轉換功能
C.接入層應提供一部分管理功能,例如MAC地址認證、計費管理等
D.接入層負責收集用戶信息,例如用戶IP地址、MAC地址、訪問日志等
結構化布線系統分為六個子系統,其中水平子系統(15)。
A.由各種交叉連接設備以及集線器和交換機等設備組成
B.連接了干線子系統和工作區子系統,
C.由終端設備到信息插座的整個區域組成
D.實現各樓層設備間子系統之間的互連
在實際應用中,用戶通常依靠評價程序來測試系統的性能。以下評價程序中,(16)的評測準確程度最低。事務處理性能委員會(Transaction Processing Performance Council,TPC)是制定商務應用基準程序(benchmark)標準規范、性能和價格度量,并管理測試結果發布的非營利組織,其發布的TPC-C是(17)的基準程序。
(16)A.核心程序
B.真實程序
C.合成基準程序
D.小型基準程序
(17)A.決策支持
B.在線事務處理
C.企業信息服務
D.聯機分析處理
企業信息化一定要建立在企業戰略規劃基礎之上,以企業戰略規劃為基礎建立的企業管理模式是建立(18)的依據。
A.企業戰略數據模型
B.企業業務運作模型
C.企業信息系統架構
D.企業決策支持
ERP是對企業物流資源,資金流資源和信息流資源進行全面集成管理的管理信息系統。在ERP五個層次的計劃中,(19)根據經營計劃的生產目標制定,是對企業經營計劃的細化;(20)說明了在一定時期內生產什么,生產多少和什么時候交貨,它的編制是ERP的主要工作內容;(21)能夠幫助企業盡早發現企業生產能力的瓶頸,為實現企業的生產任務提供能力方面的保障。
(19)A.銷售管理計劃
B.生產預測計劃
C.生產計劃大綱
D.主生產計劃
(20)A.經營計劃
B.車間作業計劃
C.物料需求計劃
D.主生產計劃
(21)A.采購與庫存計劃
B.能力需求計劃
C.物料需求計劃
D.質量管理計劃
集成平臺是支持企業信息集成的支撐環境,包括硬件、軟件、軟件工具和系統。集成平臺的基本功能中,(22)實現不同數據庫系統之間的數據交換、互操作、分布數據管理和共享信息模型定義;(23)能夠為應用提供數據交換和訪問操作,使各種不同的系統能夠相互協作。
(22)A.數據通信服務
B.信息集成服務
C.應用集成服務
D.操作集成服務
(23)A.數據通信服務
B.信息集成服務
C.應用集成服務
D.操作集成服務
商業智能是企業對商業數據的搜集、管理和分析的系統過程,主要技術包括(24)。
A.數據倉庫、聯機分析和數據挖掘
B.數據采集、數據清洗和數據挖掘
C.聯機分析、多維度分析和跨維度分析
D.數據倉庫、數據挖掘和業務優化重組
系統建議方案中不應該包含的內容是(25)。
A.問題陳述
B.項目范圍
C.候選方案及其可行性分析
D.系統詳細設計方案
下列關于聯合需求計劃(Joint Requirement Planning,JRP)的敘述中,不正確的是(26)。
A.在JRP實施之前,應制定詳細的議程,并嚴格遵照議程進行
B.在討論期間盡量避免使用專業術語
C.JRP是一種相對來說成本較高但十分有效的需求獲取方法
D.JRP的主要目的是對需求進行分析和驗證
在結構化分析方法中,用(27)表示功能模型,用(28)表示行為模型。
(27)A.ER圖
B.用例圖
C.DFD
D.對象圖
(28)A.通信圖
B.順序圖
C.活動圖
D.狀態轉換圖
下列關于敏捷方法的敘述中,錯誤的是(29)。
A.與傳統方法相比,敏捷方法比較適合需求變化大或者開發前期對需求不是很清晰的項目
B.敏捷方法尤其適合于開發團隊比較龐大的項目
C.敏捷方法的思想是適應性,而不是預設性
D.敏捷方法以原型開發思想為基礎,采用迭代式增量開發
下列關于用戶界面設計的敘述中,錯誤的是(30)。
A.界面交互模型應經常進行修改
B.界面的視覺布局應該盡量與真實世界保持一致
C.所有可視信息的組織需要按照統一的設計標準
D.確保用戶界面操作和使用的一致性
在軟件的使用過程中,用戶往往會對軟件提出新的功能與性能要求。為了滿足這些要求,需要修改或再開發軟件。在這種情況下進行的維護活動稱為(31)。
A.改正性維護
B.適應性維護
C.完善性維護
D.預防性維護
一組對象以定義良好但是復雜的方式進行通信,產生的相互依賴關系結構混亂且難以理解。采用(32)模式,用一個特定對象來封裝一系列的對象交互,從而使各對象不需要顯式地相互引用,使其耦合松散,而且可以獨立地改變它們之間的交互。
A.解釋器(Interpreter)
B.策略(Strategy)
C.中介者(Mediator)
D.迭代器(Iterator)
某廣告公司的宣傳產品有宣傳冊、文章、傳單等多種形式,宣傳產品的出版方式包括紙質方式、CD、DVD、在線發布等。現要求為該廣告公司設計一個管理這些宣傳產品的應用,采用(33)設計模式較為合適,該模式(34)。
(33)A.Decorator
B.Adapter
C.Bridge
D.Facade
(34)A.將一系列復雜的類包裝成一個簡單的封閉接口
B.將抽象部分與它的實現部分分離,使它們都可以獨立地變化
C.可在不影響其他對象的情況下,以動態、透明的方式給單個對象添加職責
D.將一個接口轉換為客戶希望的另一個接口
在UML提供的系統視圖中,(35)是邏輯視圖的一次執行實例,描述了并發與同步結構;(36)是最基本的需求分析模型。
(35)A.進程視圖
B.實現視圖
C.部署視圖
D.用例視圖
(36)A.進程視圖
B.實現視圖
C.部署視圖
D.用例視圖
在靜態測試中,主要是對程序代碼進行靜態分析。“數據初始化、賦值或引用過程中的異常”屬于靜態分析中的(37)。
A.控制流分析
B.數據流分析
C.接口分析
D.表達式分析
下列關于軟件調試與軟件測試的敘述中,正確的是(38)。
A.軟件測試的目的是找出存在的錯誤,軟件調試的目的是定位并修正錯誤
B.軟件測試的結束過程不可預計,軟件調試使用預先定義的過程
C.軟件調試的過程可以實現設計
D.軟件測試不能描述過程或持續時間
在單元測試中,(39)。
A.驅動模塊用來調用被測模塊,自頂向下的單元測試中不需要另外編寫驅動模塊
B.樁模塊用來模擬被測模塊所調用的子模塊,自頂向下的單元測試中不需要另外編寫樁模塊
C.驅動模塊用來模擬被測模塊所調用的子模塊,自底向上的單元測試中不需要另外編寫驅動模塊。
D.樁模塊用來調用被測模塊,自底向上的單元測試中不需要另外編寫樁模塊
以下關于軟件架構設計重要性的描述,(40)是錯誤的。
A.軟件架構設計能夠滿足系統的性能、安全性、可維護性等品質
B.軟件架構設計能夠幫助項目干系入(Stakeholder)更好地理解軟件結構
C.軟件架構設計能夠幫助架構師更好地捕獲和細化系統需求
D.軟件架構設計能夠有效地管理系統的復雜性,并降低系統維護費用
將系統需求模型轉換為架構模型是軟件系統需求分析階段的一項重要工作,以下描述中,(41)是在轉換過程中需要關注的問題。
A.如何通過多視圖模型描述軟件系統的架構
B.如何確定架構模型中有哪些元素構成
C.如何采用表格或用例映射保證轉換的可追蹤性。
D.如何通過模型轉換技術,將高層架構模型逐步細化為細粒度架構模型
在構件組裝過程中需要檢測并解決架構失配問題。其中(42)失配主要包括由于系統對構件基礎設施、控制模型和數據模型的假設存在沖突引起的失配。(43)失配包括由手系統對構件交互協議、構件連接時數據格式的假設存在沖突引起的失配。
(42)A.構件
B.模型
C.協議
D.連接子
(43)A.構件
B.模型
C.協議
D.連接子
“4+1”視圖主要用于描述系統邏輯架構,最早由Philippe Kruchten于1995年提出。其中(44)視圖用于描述對象模型,并說明系統應該為用戶提供哪些服務。當采用面向對象的設計方法描述對象模型時,通常使用(45)表達類的內部屬性和行為,以及類集合之間的交互關系;采用(46)定義對象的內部行為。
(44)A.邏輯
B.過程
C.開發
D.物理
(45)A.對象圖
B.活動圖
C.狀態圖
D.類圖
(46)A.對象圖
B.活動圖
C.狀態圖
D.類圖
特定領域軟件架構(Domain Specific Software Architecture,DSSA)是在一個特定應用領域中,為一組應用提供組織結構參考的標準軟件體系結構。參加DSSA的人員可以劃分為多種角色,其中(47)的任務是控制整個領域分析過程,進行知識獲取,將獲取的知識組織到領域模型中;(48)的任務是根據領域模型和現有系統開發出DSSA,并對DSSA的準確性和一致性進行驗證。
(47)A.領域希賽網
B.領域分析者
C.領域設計者
D.領域實現者
(48)A.領域希賽網
B.領域分析者
C.領域設計者
D.領域實現者
某公司欲開發一個用于分布式登錄的服務端程序,使用面向連接的TCP協議并發地處理多客戶端登錄請求。用戶要求該服務端程序運行在Linux、Solaris和WindowsNT等多種操作系統平臺之上,而不同的操作系統的相關API函數和數據都有所不同。針對這種情況,公司的架構師決定采用“包裝器外觀(Wrapper Facade)”架構模式解決操作系統的差異問題。具體來說,服務端程序應該在包裝器外觀的實例上調用需要的方法,然后將請求和請求的參數發送給(49),調用成功后將結果返回。使用該模式(50)。
(49)A.客戶端程序
B.操作系統API函數
C.TCP協議API函數
D.登錄連接程序
(50)A.提高了底層代碼訪問的一致性,但降低了服務端程序的調用性能
B.降低了服務端程序功能調用的靈活性,但提高了服務端程序的調用性能
C.降低了服務端程序的可移植性,但提高了服務端程序的可維護性
D.提高了系統的可復用性,但降低了系統的可配置性
軟件架構風格描述某一特定領域中的系統組織方式和慣用模式,反映了領域中眾多系統所共有的(51)特征。對于語音識別、知識推理等問題復雜、解空間很大、求解過程不確定的這一類軟件系統。通常會采用(52)架構風格。
(51)A.語法和語義
B.結構和語義
C.靜態和動態
D.行為和約束
(52)A.管道-過濾器
B.解釋器
C.黑板
D.過程控制
在對一個軟件系統的架構進行設計與確認之后,需要進行架構復審。架構復審的目的是為了標識潛在的風險,及早發現架構設計中的缺陷和錯誤。在架構復審過程電,主要由(53)決定架構是否滿足需求、質量需求是否在設計中得到體現。
A.系統分析師與架構師
B.用戶代表與領域希賽網
C.系統擁有者與項目經理
D.系統開發與測試人員
某公司欲開發一個在線交易系統,在架構設計階段,公司的架構師識別出3個核心質量屬性場景。其中“當系統面臨斷電故障后,需要在1小時內切換至備份站點并恢復正常運行”主要與(54)質量屬性相關,通常可采用(55)架構策略實現該屬性;“在并發用戶數量為1000人時,用戶的交易請求需要在0.5秒內得到響應”主要與(56)質量屬性相關,通常可采用(57)架構策略實現該屬性;“對系統的消息中間件進行替換時,替換工作需要在5人/月內完成”主要與(58)質量屬性相關,通常可采用(59)架構策略實現該屬性。
(54)A.性能
B.安全性
C.可用性
D.可修改性
(55)A.操作隔離
B.資源調度
C.心跳
D.內置監控器
(56)A.性能
B.易用性
C.可用性
D.互操作性
(57)A.主動冗余
B.資源調度
C.抽象接口
D.記錄/回放
(58)A.可用性
B.安全性
C.可測試性
D.可修改性
(59)A.接口-實現分離
B.記錄/回放
C.內置監控器
D.追蹤審計
識別風險、非風險、敏感點和權衡點是進行軟件架構評估的重要過程。“改變業務數據編碼方式會對系統的性能和安全性產生影響”是對(60)的描述,“假設用戶請求的頻率為每秒1個,業務處理時間小于30毫秒,則將請求響應時間設定為1秒鐘是可以接受的”是對(61)的描述。
(60)A.風險點
B.非風險
C.敏感點
D.權衡點
(61)A.風險點
B.非風險
C.敏感點
D.權衡點
體系結構權衡分析方法(Architecture Tradeoff Analysis Method,ATAM)是一種常見的系統架構評估框架,該框架主要關注系統的(62),針對性能、(63)、安全性和可修改性,在系統開發之前進行分析、評價與折中。
(62)A.架構視圖
B.架構描述
C.需求說明
D.需求建模
(63)A.可測試性
B.可用性
C.可移植性
D.易用性
以下關于軟件著作權產生時間的表述中,正確的是(64)。
A.自軟件首次公開發表時
B.自開發者有開發意圖時
C.自軟件開發完成之日時
D.自獲得軟件著作權登記證書時
甲公司接受乙公司委托開發了一項應用軟件,雙方沒有訂立任何書面合同。在此情況下,(65)享有該軟件的著作權。
A.甲公司
B.甲、乙共用
C.乙公司
D.甲、乙均不
軟件商標權的保護對象是指(66)。
A.商業軟件
B.軟件商標
C.軟件注冊商標
D.已使用的軟件商標
下列攻擊方式中,(67)不是利用TCP/IP漏洞發起的攻擊。
A.SQL注入攻擊
B.Land攻擊
C.Ping of Death
D.Teardrop攻擊
下列安全協議中(68)是應用層安全協議。
A.IPSec
B.L2TP
C.PAP
D.HTTPS
某服裝店有甲、乙、丙、丁四個縫制小組。甲組每天能縫制5件上衣或6條褲子;乙組每天能縫制6件上衣或7條褲子;丙組每天能縫制7件上衣或8條褲子;丁組每天能縫制8件上衣或9條褲子。每組每天要么縫制上衣,要么縫制褲子,不能弄混。訂單要求上衣和褲子必須配套(每套衣服包括一件上衣和一條褲子)。只要做好合理安排,該服裝店15天最多能縫制(69)套衣服。
A.208
B.209
C.210
D.211
生產某種產品有兩個建廠方案:
方案一:建大廠,需要初期投資500萬元。如果產品銷路好,每年可以獲利200萬元;如果銷路不好,每年會虧損20萬元。
方案二:建小廠,需要初期投資200萬元。如果產品銷路好,每年可以獲利100萬元;如果銷路不好,每年只能獲利20萬元。
市揚調研表明,未來2年這種產品銷路好的概率為70%。如果這2年銷路好,則后續5年銷路好的概率上升為80%;如果這2年銷路不好,則后續5年銷路好的概率僅為10%。為取得7年最大總收益,決策者應(70)。
A.建大廠,總收益超500萬元
B.建大廠,總收益略多于300萬元
C.建小廠,總收益超500萬元
D.建小廠,總收益略多于300萬元
Software architecture reconstruction is an interpretive,jnteractive,and iterative process including many activities.(71)involves analyzing a system's existing design and implementation artifacts to construct a model of it.The result is used in the following activities to construct a view of the system.The database construction activity converts the(72)contained in the view into a standard format for storage in a database.The(73)activity involves defining and manipulating the information stored in database to reconcile,augment,and establish connections between the elements.Reconstruction consists of two primary activities:(74)and(75).The former provides a mechanism for the user to manipulate architectural elements,and the latter provides facilities for architecture reconstruction.
(71)A.Reverse engineering
B.Information extraction
C.Requirements analysis
D.Source code analysis
(72)A.actors and use cases
B.processes and data
C.elements and relations
D.schemas and tables
(73)A.database normalization
B.schema definition
C.database optimization
D.view fusion
(74)A.architecture analysis and design
B.domain analysis and static modeling
C.visualization and interaction
D.user requirements modeling
(75)A.pattern definition and recognition
B.architecture design and implementation
C.system architecture modeling
D.dynamic modeling and reconstruction
軟考高項紙質版資料領取活動來啦!
活動截止12月15日
趕緊掃碼參與活動吧!
熱門:信息系統監理師備考 | 網絡工程師備考 | 軟件設計師備考
推薦:信息系統項目管理師網絡課堂 | 2025下半年軟考真題答案及解析
課程:信息系統項目管理師報考指南 | PMP課程
軟考備考資料免費領取
去領取
專注在線職業教育24年