摘要:以下為希賽網整理的2014上半年信息系統項目管理師考試案例分析真題,供大家參考學習。
●閱讀下列說明,回答問題1至問題3,將解答填入答題紙的對應欄內。
【說明】
某系統集成企業承接了一個環保監測系統項目,為某市的環保局建設水污染自動監測系統。該企業以往的主要業務領域為視頻監控及信號分析處理,對自動控制系統也有較強的技術能力,但從未在環保領域開發應用。該企業的老李被任命為此項目的項目經理。
該企業已按照ISO9001的要求建立了一套質量管理體系,對于項目管理、軟件開發等的流程均有明確的書面規定。但公司中很多人認為這套管理體系的要求對于項目來說是多余的,條條框框的約束太多,大部分項目經理都是在項目結項前才把質量體系要求的文檔補齊以便能通過結項審批。公司的質量管理員也習以為常,只要在項目結束前能把文檔補齊,就不會干涉項目建設。
老李組織了技術骨干對客戶的需求進行了調研,通過對用戶需求的分析和整理,項目組直接制定了一個總體的技術方案。然后老李制定了一個較粗略的項目計劃:
(1)對市場的采集設備進行調研,選擇一款進行采購;
(2)利用公司已有的控制軟件平臺直接進行修改開發;
(3)待設備選定后,將軟件與采集設備進行聯調實驗,實現軟件與設備的控制功能;
(4)聯調成功后,按技術方案開展整個項目的實施工作。
在軟件與采集設備的聯調過程中,老李請環保局的客戶代表來檢查工作??蛻舸戆l現由于項目組不了解環保領域的一些參數指標,完成的系統達不到客戶方的要求。由于項目從一開始就沒有完整的項目文檔,老張為了避免再出現重大問題,只好重新進行需求調研??蛻舴胶懿粷M意,既擔心項目不能按時上線又擔心項目質量無法保證。
【問題1】(6分)
請指出該項目的需求活動存在哪些問題。
【問題2】(7分)
請簡要分析該項目的項目管理方面存在哪些問題。
【問題3】(12分)
該企業的質量管理體系可能存在哪些問題?應該如何改進?
●閱讀下列說明,回答問題1至問題4,將解答填入答題紙的對應欄內。
【說明】
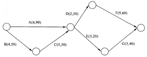
一個信息系統集成項目有A、B、C、D、E、F、G共7個活動,各個活動的順序關系,計劃進度和成本預算如下圖所示,大寫字母為活動名稱,其后面括號中的第一個數字是該活動計劃進度持續的周數,第二個數字是該活動的成本預算,單位是萬元。該項目資金分三次投入,分別在第1周期初、第10周期初和第15周初投入資金。

項目進行的前9周,由于第3周時因公司有個臨時活動停工1周。為趕進度,從其它項目組中臨時抽調4名開發人員到本項目組。第9周末時,活動A、B和C的信息如下,其它活動均未進行。
活動A:實際用時8周,實際成本100萬元,已完成100%;
活動B:實際用時4周,實際成本55萬元,已完成100%;
活動C:實際用時5周,實際成本35萬元,已完成100%。
從第10周開始,抽調的4名開發人員離開本項目組。這樣項目進行到第14周末的情況如下,其中由于對活動F的難度估計不足,導致了進度和成本的偏差。活動D:實際用時2周,實際成本30萬元,已完成100%;
活動E:實際用時0周,實際成本0萬元,已完成0%;
活動F:實際用時3周,實際成本40萬元,已完成20%;
活動G:實際用時0周,實際成本0萬元,已完成0%。
【問題1】(10分)
在不影響項目總體工期的前題下,制定能使資金成本最優化的資金投入計劃。請計算三個資金投入點分別要投入的資金量并寫出在此投入計劃下項目各個活動的執行順序。
【問題2】(5分)
請計算項目進行到第9周末時的成本偏差(CV)和進度偏差(SV),并分析項目的進展情況。
【問題3】(5分)
請計算項目進行到第15周時的成本偏差(CV)和進度偏差(SV),并分析項目的進展情況。
【問題4】(5分)
若需在項目第15周時計算完工尚需成本(ETC)和完工估算成本(EAC),采用哪種方式計算更適合?寫出計算公式。
●閱讀下列說明,回答問題1至問題3,將解答填入答題紙的對應欄內。
【說明】
某系統集成公司承接了一個政府部門的系統集成大項目,任命張工為大項目項目經理。張工按照項目內容,將項目分成子項目1、子項目2和子項目3,分別任命李工、王工和廖工負責。三個項目在張工的領導及協調下進展順利。在整個項目進行到80%時,出資人提出子項目1由于政策原因需要終止,子項目2、子項目3繼續按照原計劃進行。因此張工通知李工將子項目1資料歸檔并提交給公司管資產的人員。隨后為了保證子項目2、子項目3的順利進行,張工將子項目1的項目團隊解散,有關員工加入到子項目2、子項目3中。
子項目2、子項目3在張工引入新的資源后進展順利,因此張工覺得不需要再加強階段審查,等項目全部完成后再統一進行驗收。
在項目結束后,張工組織客戶對子項目2、子項目3分別進行驗收,結果客戶對子項目2的成果很不滿意。因子項目3需要的一個關鍵部件是子項目2提供的,最后影響了二者的總體驗收。項目因此沒有按時交工。
【問題1】(10分)
結合案例,說明在子項目1終止時張工的做法是否存在不足?如何從管理收尾及合同收尾兩個方面進行彌補?
【問題2】(5分)
結合案例,請說明張工在隨后的子項目2、子項目3的執行和驗收工作中分別存在哪些問題?
【問題3】(10分)
結合案例,簡要回答正確執行此大項目驗收工作的步驟。
軟考高項紙質版資料領取活動來啦!
活動截止12月15日
趕緊掃碼參與活動吧!
熱門:信息系統監理師備考 | 網絡工程師備考 | 軟件設計師備考
推薦:信息系統項目管理師網絡課堂 | 2025下半年軟考真題答案及解析
課程:信息系統項目管理師報考指南 | PMP課程
軟考備考資料免費領取
去領取
專注在線職業教育24年