摘要:希賽網為廣大考生整理了2007年軟件評測師考試真題,以下為上午綜合知識部分,供大家參考學習。
希賽網為廣大考生整理了2007年軟件評測師考試真題,以下為上午綜合知識部分,供大家參考學習。
●__(1)__不屬于計算機控制器中的部件。
(1)A.指令寄存器IR
B.程序計數器PC
C.算術邏輯單元ALU
D.程序狀態字寄存器PSW
●在CPU與主存之間設置高速緩沖存儲器Cache的目的是為了__(2)__。
(2)A.擴大主存的存儲容量
B.提高CPU對主存的訪問效率
C.既擴大主存容量又提高存取速度
D.提高外存儲器的速度
●下面的描述中,__(3)__不是RISC設計應遵循的設計原則。
(3)A.指令條數應少一些
B.尋址方式盡可能少
C.采用變長指令,功能復雜的指令長度長而簡單指令長度短
D.設計盡可能多的通用寄存器
●系統響應時間和作業吞吐量是衡量計算機系統性能的重要指標。對于一個持續處理業務的系統而言,其__(4)__。
(4)A.響應時間越短,作業吞吐量越小
B.響應時間越短,作業吞吐量越大
C.響應時間越長,作業吞吐量越大
D.響應時間不會影響作業吞吐量
●計算機各功能部件之間的合作關系如下圖所示。假設圖中虛線表示控制流,實線表示數據流,那么a、b和c分別表示__(5)__。

(5)A.控制器、內存儲器和運算器
B.控制器、運算器和內存儲器
C.內存儲器、運算器和控制器
D.內存儲器、控制器和運算器
●下面關于編程語言的各種說法中,__(6)__是正確的。
(6)A.由于C語言程序是由函數構成的,所以也屬于函數型語言
B.Smalltalk、C++、Java、C#都是面向對象語言
C.函數型語言適用于編寫高速計算的程序,常用于超級計算機的模擬計算
D.邏輯型語言是在Client/Server系統中用于實現負載分散的程序語言
●在面向對象的語言中,__(7)__。
(7)A.類的實例化是指對類的實例分配存儲空間
B.每個類都必須創建一個實例
C.每個類只能創建一個實例
D.類的實例化是指對類進行初始化
●在統一建模語言(UML)中,描述系統與外部系統及用戶之間交互的圖是__(8)__。
(8)A.類圖
B.用例圖
C.對象圖
D.協作圖
●某系統的進程狀態轉換如下圖所示。圖中1、2、3和4分別表示引起狀態轉換時的不同原因。原因4是由于__(9)__;一個進程狀態轉換會引起另一個進程狀態轉換的是__(10)__。

(9)A.就緒進程被調度
B.運行進程執行了P操作
C.阻塞進程等待的事件發生了
D.運行進程時間片到了
(10)A.1→2
B.2→1
C.3→2
D.4→1
●在操作系統中,虛擬設備通常采用__(11)__設備來模擬低速設備(如打印機)。
(11)A.Spooling技術,利用磁帶
B.Spooling技術,利用磁盤
C.脫機批處理技術,利用磁盤
D.通道技術,利用磁帶
●某文件管理系統在磁盤上建立了位示圖(bitmap),記錄磁盤的使用情況。若系統中字長為32位,磁盤上的物理塊依次編號為:0、1、2、…,那么8192號物理塊的使用情況在位示圖中的第__(12)__個字中有所描述。
(12)A.256
B.257
C.512
D.1024
●在數據庫管理系統中,__(13)__不屬于安全性控制機制。
(13)A.完整性約束
B.視圖
C.密碼驗證
D.用戶授權
●某供應商數據庫中的供應關系為SPJ(供應商號,零件號,工程號,數量),如下命令查詢某工程至少用了3家供應商(包含3家)供應的零件的平均數量,并按工程號的降序排列。
SELECT工程號,__(14)__FROM SPJ
GROUP BY工程號
__(15)__
ORDER BY工程號DESC;
(14)A.AVG(數量)At平均數量
B.AVG(數量)AS平均數量
C.平均數量At AVG(數量)
D.平均數量AS AVG(數量)
(15)A.HAVING COUNT(DISTINCT(供應商號))>2
B.Where COUNT(供應商號)>2
C.HAVING(DISTINCT(供應商號))>2
D.Where供應商號>2
●設關系模式R(A,B,C),傳遞依賴指的是__(16)__;下列結論錯誤的是__(17)__。
(16)A.若A→B,B→C,則A→C
B.若A→B,A→C,則A→BC
C.若A→C,則AB→C
D.若A→BC,則A→B,A→C
(17)A.若A→BC,則A→B,A→C
B.若A→B,A→C,則A→BC
C.若A→C,則AB→C
D.若AB→C,則A→C,B→C
●軟件開發人員可以用__(18)__軟件編寫和修改程序。
(18)A.預處理
B.文本編輯
C.鏈接
D.編譯
●統一過程(UP)是一種用例驅動的迭代式增量開發過程,每次迭代過程中主要的工作流包括捕獲需求、分析、設計、實現和測試等。這種軟件過程的用例圖(Use Case Diagram)是通過__(19)__得到的。
(19)A.捕獲需求
B.分析
C.設計
D.實現
●關于原型化開發方法的敘述中,不正確的是__(20)__。
(20)A.原型化方法適應于需求不明確的軟件開發
B.在開發過程中,可以廢棄不用早期構造的軟件原型
C.原型化方法可以直接開發出最終產品
D.原型化方法利于確認各項系統服務的可用性
●CMM模型將軟件過程的成熟度分為5個等級。在__(21)__使用定量分析來不斷地改進和管理軟件過程。
(21)A.優化級
B.管理級
C.定義級
D.可重復級
●軟件__(22)__的提高,有利于軟件可靠性的提高。
(22)A.存儲效率
B.執行效率
C.容錯性
D.可移植性
●序言性注釋是指在每個程序或模塊開頭的一段說明,起輔助理解程序的作用,一般包括:程序的表示、名稱和版本號;程序功能描述;接口與界面描述;輸入/輸出數據說明;開發歷史;與運行環境有關的信息等。下列敘述中不屬于序言性注釋的是__(23)__。
(23)A.程序對硬件、軟件資源的要求
B.重要變量和參數說明
C.嵌入在程序中的SQL語句
D.程序開發的原作者、審查者、修改者、編程日期等
●LOC是軟件規模的一種量度,它表示__(24)__。
(24)A.軟件功能數
B.源代碼行數
C.每單位成本數
D.工作量
●面向對象分析與設計是面向對象軟件開發過程中的兩個重要階段,下列活動中,__(25)__不屬于面向對象分析階段。
(25)A.構建分析模型
B.識別分析類
C.確定接口規格
D.評估分析模型
●面向對象分析需要找出軟件需求中客觀存在的所有實體對象(概念),然后歸納、抽象出實體類。__(26)__是尋找實體對象的有效方法之一。
(26)A.會議調查
B.問卷調查
C.電話調查
D.名詞分析
●在“模型-視圖-控制器”(MVC)模式中,__(27)__主要表現用戶界面,__(28)__用來描述核心業務邏輯。
(27)A.視圖
B.模型
C.控制器
D.視圖和控制器
(28)A.視圖
B.模型
C.控制器
D.視圖和控制器
●在進行面向對象設計時,采用設計模式能夠__(29)__。
(29)A.復用相似問題的相同解決方案
B.改善代碼的平臺可移植性
C.改善代碼的可理解性
D.增強軟件的易安裝性
●下面給出了四種設計模式的作用:外觀(Facade):為子系統中的一組功能調用提供一個一致的接口,這個接口使得這一子系統更加容易使用;裝飾(Decorate):當不能采用生成子類的方法進行擴充時,動態地給一個對象添加一些額外的功能;單件(Singleton):保證一個類僅有一個實例,并提供一個訪問它的全局訪問點;模板方法(Template Method):在方法中定義算法的框架,而將算法中的一些操作步驟延遲到子類中實現。請根據下面敘述的場景選用適當的設計模式。若某面向對象系統中的某些類有且只有一個實例,那么采用__(30)__設計模式能夠有效達到該目的;該系統中的某子模塊需要為其他模塊提供訪問不同數據庫系統(Oracle、SQL Server、DB2 UDB等)的功能,這些數據庫系統提供的訪問接口有一定的差異,但訪問過程卻都是相同的,例如,先連接數據庫、再打開數據庫、最后對數據進行查詢,__(31)__設計模式可抽象出相同的數據庫訪問過程;系統中的文本顯示類(TextView)和圖片顯示類(PictureView)都繼承了組件類(Component),分別顯示文本和圖片內容,現需要構造帶有滾動條、或者帶有黑色邊框、或者既有滾動條又有黑色邊框的文本顯示控件和圖片顯示控件,但希望最多只增加三個類,__(32)__設計模式可以實現該目的。
(30)A.外觀
B.裝飾
C.單件
D.模板方法
(31)A.外觀
B.裝飾
C.單件
D.模板方法
(32)A.外觀
B.裝飾
C.單件
D.模板方法
●函數t__(33)__、f__(34)__的定義如下所示。若調用函數t__(35)__時傳遞給x的值為3,并且調用函數f__(36)__時,第一個參數采用傳值(call by value)方式,第二個參數采用傳引用(call by reference)方式,則函數t__(37)__的返回值為__(38)__。

(33)A.35
B.24
C.22
D.11
●程序設計語言中__(34)__。
(34)A.while循環語句的執行效率比do-while循環語句的執行效率高
B.while循環語句的循環體執行次數比循環條件的判斷次數多1,而do-while語句的循環體執行次數比循環條件的判斷次數少1
C.while語句的循環體執行次數比循環條件的判斷次數少1,而do-while語句的循環體執行次數比循環條件的判斷次數多1
D.while語句的循環體執行次數比循環條件的判斷次數少1,而do-while語句的循環體執行次數等于循環條件的判斷次數
●兩名以上的申請人分別就同樣的發明創造申請專利的,專利權授權__(35)__。
(35)A.最先發明的人
B.最先申請的人
C.所有申請的人
D.協商后的申請人
●下列敘述中__(36)__是正確的。
(36)A.壓迫測試:提供條件任軟件發揮,最大限度地發掘軟件的能力
B.重負測試:使軟件在不夠理想的條件下運行,觀察軟件對外部資源的要求和依賴的程度
C.重復測試:不斷執行同樣的操作,這種反復測試的主要原因是看內存是否不足
D.完整C/S體系結構測試,只包括網絡運行和性能測試
●根據ANSI/IEEE829標準,以下__(37)__屬于《測試程序說明》中程序步驟的內容。
①啟動②目的③日志④設置
(37)A.①、②、③
B.①、③、④
C.②、③
D.①、②、③、④
●以下關于功能測試用例的意義的敘述,正確的是__(38)__。
①避免盲目測試并提高測試效率
②令軟件測試的實施重點突出、目的明確
③在回歸測試中無需修正測試用例便可繼續開展測試工作
④測試用例的通用化和復用化使軟件測試易于開展
(38)A.①、②、③
B.①、③
C.②、③
D.①、②、④
●用等價類法劃分Windows文件名稱,應該分成__(39)__個等價區間。
(39)A.2
B.3
C.4
D.6
●用邊界值分析法,假定X為整數,10≤X≤100,那么X在測試中應該取__(40)__邊界值。
(40)A.X=10,X=100
B.X=9,X=10,X=100,X=101
C.X=10,X=11,X=99,X=100
D.X=9,X=10,X=50,X=100
●__(41)__不是易用性測試包括的內容。
(41)A.安裝測試
B.界面測試
C.菜單測試
D.文檔測試
●__(42)__不是文檔測試包括的內容。
(42)A.合同文檔
B.開發文檔
C.管理文檔
D.用戶文檔
●針對用戶手冊的測試,__(43)__描述不正確。
(43)A.準確地按照手冊的描述使用程序
B.檢查每條陳述
C.修改錯誤設計
D.查找容易誤導用戶的內容
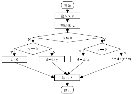
●閱讀下列流程圖:當用判定覆蓋法進行測試時,至少需要設計__(44)__個測試用例。

(44)A.2
B.4
C.6
D.8
●Web應用鏈接測試不包括__(45)__。
(45)A.無鏈接指向的頁面
B.錯誤的鏈接
C.客戶端與服務器端的鏈接速率
D.不存在的頁面文件
●在某大學學籍管理信息系統中,假設學生年齡的輸入范圍為16~40,則根據黑盒測試中的等價類劃分技術,下面劃分正確的是__(46)__
(46)A.可劃分為2個有效等價類,2個無效等價類
B.可劃分為1個有效等價類,2個無效等價類
C.可劃分為2個有效等價類,1個無效等價類
D.可劃分為1個有效等價類,1個無效等價類
●以下各項中,__(47)__屬于安裝測試應關注的內容。
①安裝手冊的評估②安裝選項和設置的測試
③安裝順序測試④修復安裝測試與卸載測試
(47)A.①、②、③
B.③、④
C.②、③、④
D.①、②、③、④
●下面關于軟件測試的說法,__(48)__是錯誤的。
(48)A.軟件測試就是程序測試
B.軟件測試貫穿于軟件定義和開發的整個期間
C.需求規格說明、設計規格說明都是軟件測試的對象
D.程序是軟件測試的對象
●關于白盒測試與黑盒測試的最主要區別,正確的是__(49)__。
(49)A.白盒測試側重于程序結構,黑盒測試側重于功能
B.白盒測試可以使用測試工具,黑盒測試不能使用工具
C.白盒測試需要程序員參與,黑盒測試不需要
D.黑盒測試比白盒測試應用更廣泛
●軟件測試按實施組織分,測試應該包括以下的__(50)__。
①開發方測試②用戶方測試③第三方測試④驗收測試⑤確認測試
(50)A.①、②、③
B.③、④、⑤
C.①、②、④
D.①、②、③、④、⑤
●以下各項中,__(51)__屬于需求說明書的評測內容。
①系統定義的目標是否與用戶的要求一致
②設計的約束條件或限制條件是否符合實際
③是否考慮過軟件需求的其他方案
④軟件的行為與它必須處理的信息、必須完成的功能是否一致
(51)A.①、②、④
B.①、③、④
C.②、③、④
D.①、②、③、④
●關于對第三方測試的描述,正確的觀點是__(52)__。
(52)A.既不是用戶,也不是開發人員所進行的測試就是第三方測試
B.第三方測試也稱為獨立測試,是由相對獨立的組織進行的測試
C.第三方測試是在開發方與用戶方的測試基礎上進行的驗證測試
D.第三方測試又被稱為β測試
●以下__(53)__屬于在GB/T 18905《評價者用的過程》中定義軟件評價過程的特性。
①可重復性②可再現性③公正性④客觀性⑤合理性
(53)A.①、②、④
B.①、②、③、④
C.③、④、⑤
D.①、②、③、④、⑤
●以下控制流程圖的環路復雜性V(G)等于__(54)__。

(54)A.4
B.5
C.6
D.1
●通過疲勞強度測試,最容易發現__(55)__問題。
(55)A.并發用戶數
B.內存泄漏
C.系統安全性
D.功能錯誤
●針對下列程序段,對于(A,B,C)的取值,以下__(56)__測試用例組合能夠滿足語句覆蓋的要求。
IF((A+10)=2 OR(B-20)<3)THEN C=0
IF((A+30)<10 AND(C-30)<0)THEN B=30
(56)A.(2,30,1)
B.(-20,0,30)
C.(-30,20,30)
D.(2,20,3)
●針對下列程序段,對于(A,B)的取值,以下__(57)__測試用例組合能夠滿足條件覆蓋的要求。
IF((A-10)=20 AND(B+20)>10)THEN C=0
IF((A-30)<10 AND(B-30)<0)THEN B=30
①A=50 B=-10 ②A=40 B=40 ③A=30 B=-10 ④A=30 B=30
(57)A.①②
B.③④
C.①④
D.②④
●針對邏輯覆蓋有下列敘述,__(58)__是不正確的。
(58)A.達到100%DC要求就一定能夠滿足100%SC的要求
B.達到100%CC要求就一定能夠滿足100%SC的要求
C.達到100%CDC要求就一定能夠滿足100%SC的要求
D.達到100%MCDC要求就一定能夠滿足100%SC的要求
●以下所示程序控制流程圖中有__(59)__條線性無關的基本路徑。

(59)A.1
B.2
C.3
D.4
●下列敘述中,__(60)__是正確的。
(60)A.白盒測試又稱為邏輯驅動測試
B.窮舉路徑測試可以查出程序中因遺漏路徑而產生的錯誤
C.一般而言,黑盒測試對結構的覆蓋比白盒測試高
D.必須根據軟件需求說明文檔生成用于白盒測試的測試用例
●針對以下程序段,對于變量c的取值,至少需要__(61)__個測試用例才能夠滿足語句覆蓋的要求。
c=((u8_t*)q->payload)<i>;
switch(c)
{
case SLIP_END:
sio_send(SLIP_ESC,netif->state);
sio_send(SLIP_ESC_END,netif->state);
break;
case SLIP_ESC:
sio_send(SLIP_ESC,netif->state);
sio_send(SLIP_ESC_ESC,netif->state);
break;
default:
sio_send(c,netif->state);
break;
}
(61)A.4
B.3
C.2
D.1
●針對以下C語言程序段,對于(MaxNum,Type)的取值,至少需要__(62)__個測試用例能夠滿足判定覆蓋的要求。
while(MaxNum-->0)
{
if(10==Type)
x=y*2;
else
if(100==Type)
x=y+10;
else
x=y-20;
}
(62)A.5
B.4
C.3
D.2
●假設A、B為布爾變量,對于邏輯表達式(A&&B),至少需要__(63)__個測試用例才能完成MCDC覆蓋。
(63)A.4
B.3
C.2
D.1
●廣義的軟件測試包括__(64)__。
(64)A.單元測試、集成測試、確認測試和系統測試
B.確認、驗證和測試
C.需求評審、設計評審、單元測試和綜合測試
D.開發方測試、用戶測試和第三方測試
●GB/T 16260將軟件的內部(外部)質量屬性劃分為六大質量特性,分別是__(65)__。
(65)A.功能性,可靠性,易用性,效率,維護性和可移植性
B.功能性、可靠性、易用性、效率、穩定性和可移植性
C.功能性、可靠性、安全性、效率、易用性和可移植性
D.功能性、可靠性、兼容性、效率、穩定性和可移植性
●軟件內部/外部質量模型中,以下__(66)__不是功能性包括的子特性。
(66)A.適合性
B.準確性
C.穩定性
D.互操作性
●《GB/T 18905軟件工程產品評價》中確定的通用評價過程包括四個方面,其中有關“規定評價”部分包含的內容有__(67)__。
(67)A.選擇度量、建立度量評定等級、確立評估準則
B.指定質量模型、選擇度量、建立度量評定等級
C.選擇度量、建立度量評定等級、制定評價計劃
D.確定產品類型、選擇度量、建立度量評定等級
●下列測試工具中,使用__(68)__執行自動化負載壓力測試,使用__(69)__執行代碼靜態結構分析,使用__(70)__執行網絡測試。
(68)A.SmartBits
B.Logiscope
C.Quick Test Professional
D.LoadRunner
(69)A.SmartBits
B.Logiscope
C.Quick Test Professional
D.LoadRunner
(70)A.SmartBits
B.Logiscope
C.Quick Test Professional
D.LoadRunner
●__(71)__analysis emphasizes the drawing of pictorial system models to document and validate both existing and/or proposed systems.Ultimately,the system models become the__(72)__for designing and constructing an improved system.__(73)__is such a technique.The emphasis in this technique is process-centered.Systems analysts draw a series of process models called __(74)__.__(75)__is another such technique that integrates data and process concerns into constructs called objects.
(71)A.Prototyping
B.Accelerated
C.Model-driven
D.Iterative
(72)A.image
B.picture
C.layout
D.blueprint
(73)A.Structured analysis
B.Information Engineering
C.Discovery Prototyping
D.Object-Oriented analysis
(74)A.PERT
B.DFD
C.ERD
D.UML
(75)A.Structured analysis
B.Information Engineering
C.Discovery Prototyping
D.Object-Oriented analysis
軟考備考資料免費領取
去領取
專注在線職業教育24年