摘要:網絡工程師是軟考中比較熱門的中級科目,以下是由希賽網整理的2012年下半年網絡工程師部分上午真題內容。
網絡工程師是軟考中比較熱門的中級科目,以下是由希賽網整理的2012年下半年網絡工程師部分上午真題內容。>>>點擊查看2012年下半年網絡工程師考試上午真題匯總
● 在CPU中,__(1)__不僅要保證指令的正確執行,還要能夠處理異常事件。
(1)A.運算器
B.控制器
C.寄存器組
D.內部總線
● 計算機中主存儲器主要由存儲體、控制線路、地址寄存器、數據寄存器和__(2)__組成。
(2)A.地址譯碼電路
B.地址和數據總線
C.微操作形成部件
D.指令譯碼器
● 以下關于數的定點表示和浮點表示的敘述中,不正確的是__(3)__。
(3)A.定點表示法表示的數(稱為定點數)常分為定點整數和定點小數兩種
B.定點表示法中,小數點需要占用一個存儲位
C.浮點表示法用階碼和尾數來表示數,稱為浮點數
D.在總位數相同的情況下,浮點表示法可以表示更大的數
● X、Y都是邏輯變量,與邏輯表達式
等價的是__(4)__。

● 在軟件設計階段,劃分模塊的原則是,一個模塊的__(5)__。
(5)A.作用范圍應該在其控制范圍之內
B.控制范圍應該在作用范圍之內
C.作用范圍與控制范圍互不包含
D.作用范圍與控制范圍不受任何限制
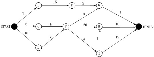
● 下圖是一個軟件項目的活動圖,其中頂點表示項目里程碑,連接頂點的邊表示包含的活動,則里程碑__(6)__在關鍵路徑上,活動FG的松弛時間為__(7)__。
(6)A.B
B.C
C.D
D.I
(7)A.19
B.20
C.21
D.24
● 設文件索引節點中有8個地址項,每個地址項大小為4字節,其中5個地址項為直接地址索引,2個地址項是一級間接地址索引,1個地址項是二級間接地址索引,磁盤索引塊和磁盤數據塊大小均為1KB字節。若要訪問文件的邏輯塊號分別為5和518,則系統應分別采用__(8)__。
(8)A.直接地址索引和一級間接地址索引
B.直接地址索引和二級間接地址索引
C.一級間接地址索引和二級間接地址索引
D.一級間接地址索引和一級間接地址索引
● 某企業有生產部和銷售部,生產部負責生產產品并送入倉庫,銷售部從倉庫取出產品銷售。假設倉庫可存放n件產品。用PV操作實現他們之間的同步過程如下圖所示。

圖中信號量S1和S2為同步信號量,初值分別為n和0;s是一個互斥信號量,初值為 __(9)__。
(9)A.0
B.1
C.n
D.-1
● M軟件公司的軟件產品注冊商標為M,為確保公司在市場競爭中占據優勢,對員工進行了保密約束。此情形下該公司不享有__(10)__ 。
(10)A.商業秘密權
B.著作權
C.專利權
D.商標權
● 下面的地址中,屬于全局廣播地址的是__(11)__。在下面的網絡中,IP全局廣播分組不能通過的通路是 __(12)__。
(11)A. 172.17.255.255
B. 0.255.255.255
C. 255.255.255.255
D. 10.255.255.255
(12)A.a和b之間的通路
B.a和c之間的通路
C.b和d之間的通路
D.b和e之間的通路
● 下面用于表示幀中繼虛電路標識符的是__(13)__。
(13)A.CIR
B.LMI
C.DLCI
D.VPI
● 下面關于RS-232-C標準的描述中,正確的是__(14)__。
(14)A.可以實現長距離遠程通信
B.可以使用9針或25針D型連接器
C.必須采用24根線韻電纜進行連接
D.通常用于連接并行打印機
● 設信道帶寬為4000Hz,采用PCM編碼,采用周期為125 s,每個樣本量化為128個等級,則信道的數據速率為__(15)__。
(15)A.10Kb/s
B.16Kb/s
C.56Kb/s
D.64Kb/s
● 在異步通信中,每個字符包含1位起始位、7位數據位、1位奇偶位和1位終止位,每秒鐘傳送200個字符,采用PSK調制,則碼元速率為__(16)__,有效數據速率為__(17)__。
(16)A.200波特
B.500波特
C.1000波特
D.2000波特
(17)A.200b/s
B.1000b/s
C.1400b/s
D.2000b/s
● 以下關于ICMP協議的說法中,正確的是__(18)__。
(18)A.由MAC地址求對應的IP地址
B. 在公網IP地址與私網IP地址之間進行轉換
C.向源主機發送傳輸錯誤警告
D.向主機分配動態lP地址
● 以下關于RARP協議的說法中,正確的是__(19)__。
(19)A.RARP協議根據主機IP地址查詢對應的MAC地址
B.RARP協議用于對lP協議進行差錯控制
C.RARP協議根據MAC地址求主機對應的IP地址
D.RARP協議根據交換的路由信息動態改變路由表
● 所謂“代理ARP”是指由__(20)__假裝目標主機回答源主機的ARP請求。
(20)A.離源主機最近的交換機
B.離源主機最近的路由器
C.離目標主機最近的交換機
D.離目標主機最近的路由器
軟考備考資料免費領取
去領取
專注在線職業教育24年