摘要:通過對真題的研究,可以讓大家摸清考試規律和出題的大概方式,能節約很多時間和精力。以下是由希賽網整理的2009上半年信息系統監理師下午真題,希望對大家有所幫助。
通過對真題的研究,可以讓大家摸清考試規律和出題的大概方式,能節約很多時間和精力。以下是由希賽網整理的2009上半年信息系統監理師下午真題,希望對大家有所幫助。
● 閱讀下列說明,回答問題1至問題5,將解答填入答題紙的對應欄內。
【說明】
某省政務信息網建設項目全部由政府投資?!犊尚行匝芯繄蟾妗泛汀冻醪皆O計報告》已經主管部門批準,現決定對該項目采取公開招標的方式選定承建單位,確定了投標保證金的數目,并委托某工程咨詢單位為該項工程編制標底。招標人于 2006 年 8 月 8 日在級報刊上發布了招標公告,并規定2006年9月5日14時為投標截止時間。招標工作步驟如下:
(1)發放招標邀請書。
(2)發布招標公告。
(3)投標單位資格審查。
(4)召開標前會議(先進行現場踏勘)。
(5)接受投標書。
(6)開標。
(7)確定中標單位。
(8)評標。
(9)發中標通知書。
(10)簽訂合同。
A、B、C、D、E等5家公司購買了招標文件,并于2006年9月5日14時前提交了投標文件,但是投標人E由于銀行手續方面的問題,于2006年9月5日16時才提交投標保證金。開標會由招標代理機構主持,省公證處到場監督。開標前招標代理機構組建了10人評標委員會,其中包括招標人代表6人。結果A、B、C、D等4個單位的投標報價均在7000萬元以上,但由工程咨詢單位編制的標底為5000萬元,A、B、C、D的投標價與標底相差 2000 余萬元,引起了投標人的異議。這 4 家投標單位向該省有關部門投訴,認為該工程咨詢單位在編制標底的過程中,漏算了多項材料、設備、軟件等費用,并少算了工作量。為此,招標人請求省內的部門對原標底進行了復核。2006 年 12月 10 日,該部門拿出復核報告,證明該工程咨詢單位在編制標底的過程中確實存在這4家投標單位提出的問題,復核標底與原標底相差近2000萬元。
由于上述問題久拖不決,招標人決定終止本次招標,重新進行招標。
【問題1】(4分)
招標工作步驟的排列順序有不妥之處,請給出正確的排列順序。
【問題2】(4分)
招標人對投標單位進行資格審查應考慮哪四個方面的因素?
【問題3】(6分)
由于上述問題久拖不決,招標人決定終止本次招標,重新進行招標,該做法是否妥當?如果重新進行招標,給投標人造成的損失能否要求招標人賠償,為什么?如果不能重新進行招標,請說明理由。
【問題4】(2 分)
E 單位的投標文件應當如何處理?為什么?
【問題5】(4分)
招標人的招標做法還有哪些不正確之處,請逐一說明。
● 閱讀下列說明,回答問題1至問題3,將解答填入答題紙的對應欄內。
【說明】
企業甲就信息化網絡工程項目與承建單位乙、監理單位丙分別簽訂了建設合同、監理合同。承建單位乙在得到甲同意的情況下,將機房工程分包給單位丁,并簽訂了分包合同。在項目實施過程中發生了以下幾個事件:
事件 1:在機房建設過程中,分包單位丁的施工人員為了趕工期,把信號線PVC管和電源線PVC管同放在一條泡沫條的槽中,造成質量隱患,專業監理工程師向總監理工程師及時匯報了情況??偙O理工程師立即向承建單位乙和分包單位丁簽發了整改通知。
承建單位乙稱機房工程已根據合同由分包單位丁實施,現在機房工程出現問題,應由分包單位丁承擔一切責任。
事件2:在布線過程中,承建單位乙的施工人員違反規范要求,貪圖一時方便,線纜不夠長,接一段了事,旁站監理工程師及時發現并報告給總監理工程師。如果繼續施工,線纜將被隱蔽。所以總監理工程師立即向承建單位乙簽發了“停工令”。
事件3:在網絡工程的實施過程中,由于某些設備的到貨延遲使整個工期受到影響,承建單位乙向監理提交了進度變更申請。
【問題1】(6分)
在事件1中:
(1)發現機房工程存在質量隱患,承建單位乙稱應由分包單位丁承擔一切責任,這種態度為什么不對?
(2)總監理工程師向承建單位乙和分包單位丁簽發整改通知,有什么不妥之處嗎?為什么?
【問題2】(5分)
在事件2中:
(1)在布線中,施工人員的做法可能會導致線纜的哪兩項指標超標?
(2)總監理工程師簽發的“停工令”恰當嗎?
(3)總監理工程師在立即簽發 “停工令”前還應當做什么?
【問題3】(4分)
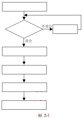
事件3中,作為監理工程師,請根據你對項目變更控制的工作任務的理解, 把下列項目變更控制工作的序號填入圖2-1框圖中,形成正確的項目變更控制流程圖。

(2)A.提出監理意見 B.三方協商確定變更方法 C.承建單位提交變更申請 D.變更分析e.監理監督變更過程 f.監理初審 g.開始實施變更
● 閱讀下列說明,回答問題1至問題3,將解答填入答題紙的對應欄內。
【說明】
某監理單位承擔了某機房、網絡和軟件開發項目全過程的監理工作。
【問題1】(6分)
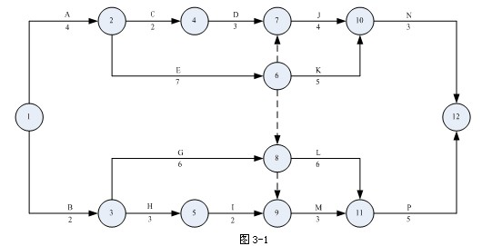
該工程合同工期為22個月,承建單位制定的初始項目實施網絡計劃如圖3-1所示 (時間單位:月)。

(1)請指出網絡計劃中的關鍵路徑,說明該網絡計劃是否可行并簡述理由。
(2)請計算C的總時差和自由時差。
【問題2】(5 分)
(1)請指出在軟件開發中軟件總體結構、運行環境、出錯處理設計應分別在哪個文檔中闡述(選擇候選答案的標號即可)。
候選答案:
①可行性研究報告 ② 項目開發計劃 ③ 軟件需求規格說明
④ 數據要求規格說明 ⑤ 概要設計規格說明 ⑥ 詳細設計規格說明
⑦ 測試計劃 ⑧ 測試報告 ⑨ 用戶手冊
(2)請指出初步的用戶手冊、確認測試計劃兩個文檔應分別在哪個階段中完成(選擇候選答案的標號即可)。
候選答案:
① 可行性研究與計劃② 需求分析 ③ 概要設計
④ 詳細設計 ⑤ 測試 ⑥ 維護
【問題3】(4分)
在機房建設中,計算機設備宜采用分區布置。請指出機房可分為哪幾個區?
● 閱讀下列說明,回答問題1至問題3,將解答填入答題紙的對應欄內。
【說明】
某大型電子政務工程建設項目,使用中央財政資金建設。在歷經編寫項目建議書、可行性研究報告、初步設計方案后獲得批準。其中,硬件、網絡基礎支撐平臺建設投資額 3300 萬;安全保障系統建設投資額 760 萬。這兩項建設任務分別由 2 家承建單位承擔,同時某監理單位承擔了整個項目全過程監理工作。
由于項目建設歷時較長,而且某些業務流程發生了必要變化,項目建設單位提出了增加和調整部分建設內容的變更需求。相應地投資發生了一定變化,其中硬件、網絡基礎支撐平臺建設追加資金280萬,安全保障系統建設追加資金92萬。
【問題1】(5 分)
請指出上述案例中是否存在違規現象并說明理由。
【問題2】(5 分)
簡要敘述監理單位在變更控制過程中應開展的主要工作。
【問題3】(5 分)
簡述信息系統工程驗收必須符合哪些基本前提條件。
● 閱讀下列說明,回答問題1至問題3,將解答填入答題紙的對應欄內。
【說明】
某信息系統網絡工程建設內容包括網絡系統和存儲備份系統的采購、安裝和調試等工作。監理在項目建設過程中,應適時開展對承建單位提交的測試計劃、測試方案、測試記錄和測試報告等測試文檔的審查工作,同時還要對承建單位測試工作進行抽檢。
【問題1】(4 分)
在承建單位開展網絡測試工作過程中,監理要對關鍵網絡設備和關鍵部件的工作狀況、鏈路的冗余能力、Telnet 的控制測試,以及 VLAN TRUNK、VPN、FTP、DHCP 等功能的測試過程進行監督檢查。
請簡述在網絡設備測試過程中,監理除了對上述已經描述的測試過程進行監督檢查外,還需要檢查其他哪些測試過程。
【問題2】(4分)
請指出網絡設備的主要測試技術指標,并分別說明這些測試指標的作用。
【問題3】(2分)
請列舉至少2個網絡應用性能測試工具名稱。
希賽軟考網,擁有十五年軟考培訓經驗,希賽網一直堅持自主研發,將豐富的軟考培訓經驗有效融入教程研發過程,自成體系的軟考在線題庫(軟考歷年真題)、軟考培訓教材和軟考視頻教程,多樣的培訓方式包括在線輔導、面授、和,使考生的學習更具系統性,輔導更具針對性。采用全程督學機制,,軟考平均通過率在全國。
軟考備考資料免費領取
去領取
專注在線職業教育24年