摘要:下面是關于2013下半年軟件設計師上午真題第一部分內容。點擊查看完整版2013下半年軟件設計師上午真題匯總。
>>>2017年軟件設計師網絡課堂課
>>>軟件設計師歷年真題題庫
>>>2017年軟件設計師考試指南
下面是關于2013下半年軟件設計師上午真題第一部分內容。點擊查看完整版2013下半年軟件設計師上午真題匯總。
● 在程序執行過程中,Cache與主存的地址映像由__(1)__。
(1)A.硬件自動完成
B.程序員調度
C.操作系統管理
D.程序員與操作系統協同完成
● 指令寄存器的位數取決于__(2)__
(2)A.存儲器的容量
B.指令字長
C.數據總線的寬度
D.地址總線的寬度
● 若計算機存儲數據采用的是雙符號為(00表示正號、11表示負號),兩個符號相同的數相加時,如果運算結果的兩個符號位經 ( )運算得1,則可斷定這兩個數相加的結果產生了溢出。
(3)A.邏輯與
B.邏輯或
C.邏輯同或
D.邏輯異或
● 某指令流水線由4段組成,各段所需要的時間如下圖所示。連續輸出8條指令時的吞吐率(單位時間內流水線所完成的任務數或輸出的結果數)為( )。
(4)A.8/56Δt
B.8/32Δt
C.8/28Δt
D.8/24Δt
● __(5)__不是RISC的特點。
(5)A.指令種類豐富
B.高效的流水線操作
C.尋址方式較少
D.硬布線控制
● 在面向對象技術中,( )定義了超類和子類之間的關系,子類中以更具體的方式實現從父類繼承來的方法稱為( ),不同類的對象通過( )相互通信。
(6)A.覆蓋
B.繼承
C.消息
D.多態
(7)A.覆蓋
B.繼承
C.消息
D.多態
(8)A.覆蓋
B.繼承
C.消息
D.多態
● 弱類型的語言(動態類型語言)是指不需要進行變量/對象類型聲明的語言。( )屬于弱類型語言。
(9)A.Java
B.C/C++
C.Python
D.C#
● 若某計算機字長為32位,內存容量為2GB,按字編址,則可尋址范圍為( )。
(10)A.1024M
B.1GB
C.512M
D.2GB
● 下列網絡攻擊行為中,屬于DoS攻擊的是( )。
(11)A.特洛伊木馬攻擊
B.SYN Flooding攻擊
C.端口欺騙攻擊
D.IP欺騙攻擊
● PKI體制中,保證數字證書不被篡改的方法是( )。
(12)A.用CA的私鑰對數字證書簽名
B.用CA的公鑰對數字證書簽名
C.用證書主人的私鑰對數字證書簽名
D.用證書主人的公鑰對數字證書簽名
● 下列算法中,不屬于公開密鑰加密算法的是( )。
(13)A.ECC
B.DSA
C.RSA
D.DES
● 矢量圖是常用的圖形圖像表示形式,( )是描述矢量圖的基本組成單位。
(14)A.像素
B.像素點
C.圖元
D.二進制位
● 視頻信息是連續的圖像序列,( )是構成視頻信息的基本單元。
(15)A.幀
B.場
C.幅
D.像素
● 以下多媒體素材編輯軟件中,( )主要用于動畫編輯和處理。
(16)A.WPS
B.Xara3D
C.PhotoShop
D.Cool Edit Pro
● 為說明某一問題,在學術論文中需要引用某些資料。以下敘述中,( )是不正確的。
(17)A.既可引用發表的作品,也可引用未發表的作品
B.只能限于介紹、評論作品
C.只要不構成自己作品的主要部分,可適當引用資料
D.不必征得原作者的同意,不需要向他支付報酬
● 以下作品中,不適用或不受著作權法保護的是( )。
(18)A.某教師在課堂上的講課
B.某作家的作品《紅河谷》
C.較高人民法院組織編寫的《行政訴訟案例選編》
D.國務院頒布的《計算機軟件保護條例》
● 以下關于數據流圖中基本加工的敘述,不正確的是( )。
(19)A.對每一個基本加工,必須有一個加工規格說明
B.加工規格說明必須描述把輸入數據流變換為輸出數據流的加工規則
C.加工規格說明必須描述實現加工的具體流程
D.決策表可以用來表示加工規格說明
● 在劃分模塊時,一個模塊的作用范圍應該在其控制范圍之內。若發現其作用范圍不在其控制范圍內,則( )不是適當的處理方法。
(20)A.將判定所在模塊合并到父模塊中,使判定處于較高層次
B.將受判定影響的模塊下移到控制范圍內
C.將判定上移到層次較高的位置
D.將父模塊下移,使判定處于較高層次
● 針對“關鍵職員在項目未完成時就跳槽”的風險,最不合適的風險管理策略是( )。
(21)A.對每一個關鍵性的技術人員,要培養后備人員
B.建立項目組,以使大家都了解有關開發活動的信息
C.臨時招聘具有相關能力的新職員
D.對所有工作組織細致的評審
● 程序運行過程中常使用參數在函數(過程)間傳遞消息,引用調用傳遞的是實參的( )。
(22)A.地址
B.類型
C.名稱
D.值
● 已知文法G:S->A0|B1,A->S1|1,B->S0|0,其中S是開始符號。從S出發可以推導出( )。
(23)A.所有由0構成的字符串
B.所有由1構成的字符串
C.某些0和1個數相等的字符串
D.所有0和1個數不同的字符串
● 算術表達式a+(b-c)*d的后綴式是( )(-、+、*表示算術的減、加、乘運算,運算符的優先級和結合性遵循慣例)。
(24)A.bc-d*a+
B.abc-d*+
C.ab+c-d*
D.abcd-*+
● 假設系統采用PV操作實現進程同步與互斥,若有n個進程共享一臺掃描儀,那么當信號量S的值為-3時,表示系統中有( )個進程等待使用掃描儀。
(25)A.0
B.n-3
C.3
D.n
● 假設段頁式存儲管理系統中的地址結構如下圖所示,則系統中( )。
(26)A.頁的大小為4K,每個段的大小均為4096個頁,最多可有256個段
B.頁的大小為4K,每個段的最大允許有4096個頁,最多可有256個段
C.頁的大小為8K,每個段的大小均為2048個頁,最多可有128個段
D.頁的大小為8K,每個段的最大允許有2048個頁,最多可有128個段
● 某文件管理系統采用位示圖(bitmap)記錄磁盤的使用情況。如果系統的字長為32位,磁盤物理塊的大小為4MB,物理塊依次編號為:0、1、2、…,位示圖字依次編號為:0、1、2、…,那么16385號物理塊的使用情況在位示圖中的第( )個字中描述;如果磁盤的容量為1000GB,那么位示圖需要( )個字來表示。
(27)A.128
B.256
C.513
D.1024
(28)A.1200
B.3200
C.6400
D.8000
● 假設系統中有三類互斥資源R1、R2和R3,可用資源分別為10、5和3。在T0時刻系統中有P1、P2、P3、P4和P5五個進程,這些進程對資源的最大需求量和已分配資源數如下表所示,此時系統剩余的可用資源數分別為(27);如果進程按(28)序列執行,那么系統狀態是安全的。
(29)A.1、1和0
B.1、1和1
C.2、1和0
D.2、0和1
(30)A.P1->P2->P4->P5->P3
B.P5->P2->P4->P3->P1
C.P4->P2->P1->P5->P3
D.P5->P1->P4->P2->P3
● 系統可維護性的評價指標不包括( )。
(31)A.可理解性
B.可測試性
C.可移植性
D.可修改性
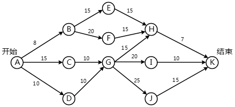
● 下圖是一個軟件項目的活動圖,其中頂點表示項目里程碑,連接頂點的邊表示包含活動,則里程碑( )在關鍵路徑上,若在實際項目進展中,活動AD在活動AC開始3天后才開始,而完成活動DG過程中,由于有臨時事件發生,實際需要15天才能完成,則完成該項目的最短時間比原計劃多了( )天。
(32)A.B
B.C
C.D
D.I
(33)A.8
B.3
C.5
D.6
● 逆向工程從源代碼或目標代碼中提取設計信息,通常在原軟件生命周期的( )階段進行。
(34)A.需求分析
B.軟件設計
C.軟件測試
D.軟件維護
● SEI能力成熟度模型(SEICMM)把軟件開發企業分為5個成熟度級別,其中( )重點關注產品和過程質量。
(35)A.級別2:重復級
B.級別3:確定級
C.級別4:管理級
D.級別5:優化級
軟考備考資料免費領取
去領取
專注在線職業教育24年