摘要:不問收獲,但問耕耘!天道酬勤。要想順利通過軟件設計師的考試,就必須下功夫復習,下面是關于2012年下半年軟件設計師上午真題第一部分內容。
>>>2017年軟件設計師網絡課堂課
>>>軟件設計師歷年真題題庫
>>>2017年軟件設計師考試指南
不問收獲,但問耕耘!天道酬勤。要想順利通過軟件設計師的考試,就必須下功夫復習,下面是關于2012年下半年軟件設計師上午真題第一部分內容。>>>點擊查看完整版2012年下半年軟件設計師上午真題匯總。
● 在CPU中,__(1)__不僅要保證指令的正確執行,還要能夠處理異常事件。
(1)A.運算器
B.控制器
C.寄存器組
D.內部總線
● 循環冗余校驗碼(CRC)利用生成多項式進行編碼。設數據位為k位,校驗位為r位,則CRC碼的格式為__(2)__。
(2)A.k個數據位之后跟r個校驗位
B.r個校驗位之后跟k個數據位
C.r個校驗位隨機加入k個數據位中
D.r個校驗位等間隔地加入k個數據位中
● 以下關于數的定點表示和浮點表示的敘述中,不正確的是__(3)__。
(3)A.定點表示法表示的數(稱為定點數)常分為定點整數和定點小數兩種
B.定點表示法中,小數點需要占用一個存儲位
C.浮點表示法用階碼和尾數來表示數,稱為浮點數
D.在總位數相同的情況下,浮點表示法可以表示更大的數
● __(4)__不屬于按尋址方式劃分的一類存儲器。
(4)A.隨機存儲器
B.順序存儲器
C.相聯存儲器
D.直接存儲器
● 在I/O設備與主機間進行數據傳輸時,CPU只需在開始和結束時作少量處理,而無需干預數據傳送過程的是__(5)__方式。
(5)A.中斷
B.程序查詢
C.無條件傳送
D.直接存儲器存取
● __(6)__不屬于系統總線。
(6)A.ISA
B.EISA
C.SCSI
D.PCI
● 下列安全協議中,與TLS最接近的協議是__(7)__。
(7)A.PGP
B.SSL
C.HTTPS
D.IPSec
● 用戶B收到用戶A帶數字簽名的消息M,為了驗證M的真實性,首先需要從CA獲取用戶A的數字證書,并利用__(8)__驗證該證書的真偽,然后利用__(9)__驗證M的真實性。
(8)A.CA的公鑰
B.B的私鑰
C.A的公鑰
D.B的公鑰
(9)A.CA的公鑰
B.B的私鑰
C.A的公鑰
D.B的公鑰
● M軟件公司的軟件產品注冊商標為M,為確保公司在市場競爭中占據優勢,對員工進行了保密約束。此情形下該公司不享有__(10)__。
(10)A.商業秘密權
B.著作權
C.專利權
D.商標權
● X軟件公司的軟件工程師張某兼職于Y科技公司,為完成Y科技公司交給的工作,做出了一項涉及計算機程序的發明。張某認為該發明是利用自己的業余時間完成的,可以以個人名義申請專利。此項專利申請權應歸屬__(11)__。
(11)A.張某
B.X軟件公司
C.Y科技公司
D.張某和Y科技公司
● 以下圖像文件格式中,__(12)__可以在單個文件中實現多個圖片輪流顯示或者構成簡單的動畫效果。
(12)A.BMP
B.JPEG
C.GIF
D.TIFF
● 計算機終端用戶因等待時間過長而放棄下載或顯示圖片/影像的問題,不能通過采用__(13)__來解決。
(13)A.流媒體技術
B.JPEG累進編碼方式
C.GIF圖像文件格式
D.AD/DA變換方式
● 計算機處理模擬視頻信號過程中首先要進行__(14)__。
(14)A.A/D變換
B.數據壓縮
C.D/A變換
D.數據存儲
● 以下關于數據流圖的敘述中,不正確的是__(15)__。
(15)A.每條數據流的起點或終點必須是加工
B.必須保持父圖與子圖平衡
C.每個加工必須有輸入數據流,但可以沒有輸出數據流
D.應保持數據守恒
● 某軟件項目的活動圖如下所示。圖中頂點表示項目里程碑,連接頂點的邊表示包含的活動,則里程碑__(16)__在關鍵路徑上,活動FG的松弛時間為__(17)__。

(16)A.B
B.C
C.D
D.I
(17)A.19
B.20
C.32
D.24
● 在軟件設計階段,劃分模塊的原則是:一個模塊的__(18)__。
(18)A.作用范圍應該在其控制范圍之內
B.控制范圍應該在其作用范圍之內
C.作用范圍與控制范圍互不包含
D.作用范圍與控制范圍不受任何限制
● 定義風險參照水準是__(19)__活動常用的技術。
(19)A.風險識別
B.風險預測
C.風險評估
D.風險控制
● 可用于編寫獨立程序和快速腳本的語言是__(20)__。
(20)A.Python
B.Prolog
C.Java
D.C#
● 語言L={ambn | m >= 0, n >= 1}的正規表達式是__(21)__
(21)A.aa*bb*
B.a*bb*
C.aa*b*
D.a*b*
● 算術表達式(a-b)*c+d的后綴式是__(22)__(-、+、*表示算術的減、加、乘運算,運算符的優先級和結合性遵循慣例)。
(22)A.a b c d - * +
B.a b – c d * +
C.a b – c * d +
D.a b c – d * +
● 某系統中僅有5個并發進程競爭某類資源,且都需要3個該類資源,那么至少有__(23)__個該類資源,才能保證系統不會發生死鎖。
(23)A.9
B.10
C.11
D.15
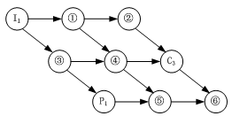
● 某計算機系統中有一個CPU、一臺輸入設備和一臺輸出設備,假設系統中有三個作業T1、T2和T3,系統采用優先級調度,且T1的優先級>T2的優先級>T3的優先級。若每個作業具有三個程序段:輸入Ii、計算Ci和輸出Pi(i=1,2,3),執行順序為Iì、Cì、Pì,則這三個作業各程序段并發執行的前驅圖如下所示。圖中①、②分別為__(24)__,③、④分別為__(25)__,⑤、⑥分別為__(26)__。

(24)A.I2、C2
B.I2、I3
C.C1、P3
D.C2、P2
(25)A.C1、C2
B.I2、C1
C.I3、P3
D.C1、P2
(26)A.I3、C2
B.I2、C1
C.P2、P3
D.C1、P2
● 設文件索引節點中有8個地址項,每個地址項大小為4字節,其中5個地址項為直接地址索引,2個地址項是一級間接地址索引,1個地址項是二級間接地址索引,磁盤索引塊和磁盤數據塊大小均為1KB。若要訪問文件的邏輯塊號分別為5和518,則系統應分別采用__(27)__;而且可表示的單個文件最大長度是__(28)__KB。
(27)A.直接地址索引和一級間接地址索引
B.直接地址索引和二級間接地址索引
C.一級間接地址索引和二級間接地址索引
D.一級間接地址索引和一級間接地址索引
(28)A.517
B.1029
C.16513
D.66053
● 某開發小組欲開發一個規模較大、需求較明確的項目。開發小組對項目領域熟悉且該項目與小組開發過的某一項目相似,則適宜采用__(29)__開發過程模型。
(29)A.瀑布
B.演化
C.螺旋
D.噴泉
● 敏捷開發方法中,__(30)__認為每一種不同的項目都需要一套不同的策略、約定和方法論。
(30)A.極限編程(XP)
B.水晶法(Crystal)
C.并列爭球法( Scrum)
D.自適應軟件開發(ASD)
● 采用McCabe度量法計算下圖的環路復雜性為__(31)__。

(31)A.2
B.3
C.4
D.5
● 在屏蔽軟件錯誤的容錯系統中,冗余附加技術的構成不包括__(32)__。
(32)A.關鍵程序和數據的冗余存儲及調用
B.冗余備份程序的存儲及調用
C.實現錯誤檢測和錯誤恢復的程序
D.實現容錯軟件所需的固化程序
● 以下關于文檔的敘述中,不正確的是__(33)__。
(33)A.文檔僅僅描述和規定了軟件的使用范圍及相關的操作命令
B.文檔是軟件產品的一部分,沒有文檔的軟件不能稱之為軟件
C.軟件文檔的編制在軟件開發工作中占有突出的地位和相當大的工作量
D.高質量文檔對于發揮軟件產品的效益有著重要的意義
● 由于信用卡公司升級了其信用卡支付系統,導致超市的原有信息系統也需要做相應的修改工作,該類維護屬于__(34)__。
(34)A.正確性維護
B.適應性維護
C.完善性維護
D.預防性維護
● 用白盒測試方法對下圖所示的程序進行測試,設計了4個測試用例:①(x=0,y=3)、②(x=1,y=2)、③(x=-1,y=2)和④(x=3,y=1)。測試用例
①②實現了__(35)__覆蓋;若要完成路徑覆蓋,則可用測試用例__(36)__。

(35)A.語句
B.條件
C.判定
D.路徑
(36)A.①②
B.②③
C.①②③
D.①③④
軟考備考資料免費領取
去領取
專注在線職業教育24年