摘要:通過數據庫系統工程師級別(中級資格/工程師)考試的合格人員能參與應用信息系統的規劃、設計、構建、運行和管理,能按照用戶需求,設計、建立、運行、維護高質量的數據庫和數據倉庫。以下是由希賽網整理的部分2008年上半年數據庫系統工程師考試上午真題,希望對大家備考有所幫助。
通過數據庫系統工程師級別(中級資格/工程師)考試的合格人員能參與應用信息系統的規劃、設計、構建、運行和管理,能按照用戶需求,設計、建立、運行、維護高質量的數據庫和數據倉庫。以下是由希賽網整理的部分2008年上半年數據庫系統工程師考試上午真題,希望對大家備考有所幫助。
● 在計算機體系結構中,CPU 內部包括程序計數器 PC、存儲器數據寄存器 MDR、指令寄存器IR 和存儲器地址寄存器MAR 等。若CPU 要執行的指令為: MOVR0, #100(即將數值100傳送到寄存器R0中),則CPU 首先要完成的操作是 __(1)__ 。
(1)A.100→R0
B.100→MDR
C.PC→MAR
D.PC→IR
● 現有四級指令流水線,分別完成取指、取數、運算、傳送結果四步操作。若完成上述操作的時間依次為9ns、10ns、6ns、8ns,則流水線的操作周期應設計為 __(2)__ ns。
(2)A.6
B.8
C.9
D.10
● 內存按字節編址,地址從90000H 到CFFFFH,若用存儲容量為16K×8bit的存儲器芯片構成該內存,至少需要 __(3)__ 片。
(3)A.2
B.4
C.8
D.16
● CPU 中的數據總線寬度會影響 __(4)__。
(4)A.內存容量的大小
B.系統的運算速度
C.指令系統的指令數量
D.寄存器的寬度
● 利用高速通信網絡將多臺高性能工作站或微型機互連構成機群系統,其系統結構形式屬于 __(5)__ 計算機。
(5)A.單指令流單數據流(SISD)
B.多指令流單數據流(MISD)
C.單指令流多數據流(SIMD)
D.多指令流多數據流(MIMD)
● 內存采用段式存儲管理有許多優點,但“ __(6)__ ”不是其優點。
(6)A.分段是信息的邏輯單位,用戶不可見
B.各段程序的修改互不影響
C.地址變換速度快、內存碎片少
D.便于多道程序共享主存的某些段
● 如果希望別的計算機不能通過 ping 命令測試服務器的連通情況,可以 __(7)__。如果希望通過默認的Telnet端口連接服務器,則下面對防火墻配置正確的是 __(8)__。
(7)A.刪除服務器中的ping.exe文件
B.刪除服務器中的cmD.exe文件
C.關閉服務器中ICMP 端口
D.關閉服務器中的Net Logon服務


● 某銀行為用戶提供網上服務,允許用戶通過瀏覽器管理自己的銀行賬戶信息。為保障通信的安全性,該Web服務器可選的協議是 __(9)__ 。
(9)A.POP
B.SNMP
C.HTTP
D.HTTPS
● 關于軟件著作權產生的時間,表述正確的是 __(10)__ 。
(10)A.自軟件首次公開發表時
B.自開發者有開發意圖時
C.自軟件得到著作權行政管理部門認可時
D.自軟件完成創作之日起
● 李某大學畢業后在M公司銷售部門工作,后由于該公司軟件開發部門人手不足,李某被暫調到該公司軟件開發部開發新產品,2 周后,李某開發出一種新軟件。該軟件著 2008 年作權應歸 __(11)__ 所有。
(11)A.李某
B.M公司
C.李某和M公司
D.軟件開發部
● 一幅灰度圖像,若每個像素有8位像素深度,則最大灰度數目為 __(12)__ 。
(12)A.128
B.256
C.512
D.1024
● 當圖像分辨率為800×600,屏幕分辨率為640×480時, __(13)__ 。
(13)A.屏幕上顯示一幅圖像的64%左右
B.圖像正好占滿屏幕
C.屏幕上顯示一幅完整的圖像
D.圖像只占屏幕的一部分
● 若視頻圖像每幀的數據量為6.4MB,幀速率為30幀/秒,則顯示10秒的視頻信息,其原始數據量為 __(14)__ MB。
(14)A.64
B.192
C.640
D.1920
● __(15)__ 是一種面向數據流的開發方法,其基本思想是軟件功能的分解和抽象。
(15)A.結構化開發方法
B.Jackson系統開發方法
C.Booch方法
D.UML(統一建模語言)
● 采用 UML 進行軟件設計時,可用 __(16)__ 關系表示兩類事物之間存在的特殊/一般關系,用聚集關系表示事物之間存在的整體/部分關系。
(16)A.依賴
B.聚集
C.泛化
D.實現
● 某項目制定的開發計劃中定義了三個任務,其中任務 A 首先開始,且需要 3 周完成,任務B 必須在任務A 啟動1 周后開始,且需要2 周完成,任務C 必須在任務A 完成后才能開始,且需要2周完成。該項目的進度安排可用下面的甘特圖 __(17)__ 來描述。 
● 風險分析在軟件項目開發中具有重要作用,包括風險識別、風險預測、風險評估和風險控制等。“建立風險條目檢查表”是 __(18)__ 時的活動,“描述風險的結果”是 __(19)__時的活動。
(18)A.風險識別
B.風險預測
C.風險評估
D.風險控制
(19)A.風險識別
B.風險預測
C.風險評估
D.風險控制
● 某火車票銷售系統有 n 個售票點,該系統為每個售票點創建一個進程Pi(i=1,2,^,n)。假設Hj(j=1,2,^,m)單元存放某日某車次的剩余票數,Temp 為Pi進程的臨時工作單元,x為某用戶的訂票張數。初始化時系統應將信號量S賦值為 __(20)__ 。Pi進程的工作流程如下,若用 P 操作和 V 操作實現進程間的同步與互斥,則圖中 a、b 和 c應分別填入 __(21)__ 。 
(20)A.0
B.1
C.2
D.3
(21)A.P(S)、V(S) 和V(S)
B.P(S)、P(S) 和V(S)
C.V(S)、P(S) 和P(S)
D.V(S)、V(S) 和P(S)
● 在某計算機中,假設某程序的6個頁面如下圖所示,其中某指令“COPY A TO B”跨兩個頁面,且源地址A 和目標地址B 所涉及的區域也跨兩個頁面。若地址為 A 和 B 的操作數均不在內存,計算機執行該COPY 指令時,系統將產生 __(22)__ 次缺頁中斷;若系統產生三次缺頁中斷,那么該程序應有 __(23)__ 個頁面在內存。 
(22)A.2
B.3
C.4
D.5
(23)A.2
B.3
C.4
D.5
● 編譯器對高級語言源程序的處理過程可以劃分為詞法分析、語法分析、語義分析、中間代碼生成、代碼優化、目標代碼生成等幾個階段,其中, __(24)__ 并不是每種編譯器都必需的。
(24)A.詞法分析和語法分析
B.語義分析和中間代碼生成
C.中間代碼生成和代碼優化
D.代碼優化和目標代碼生成
● 已知某文法G[S]:S→0S0 S→1,從S推導出的符號串可用 __(25)__ (n≥0) 描述。
(25)A.(010)n
B.0 n10 n
C.1 n
D.01 n0
● 下列敘述中錯誤的是 __(26)__ 。
(26)A.面向對象程序設計語言可支持過程化的程序設計
B.給定算法的時間復雜性與實現該算法所采用的程序設計語言無關
C.與匯編語言相比,采用腳本語言編程可獲得更高的運行效率
D.面向對象程序設計語言不支持對一個對象的成員變量進行直接訪問
● 若將某有序樹 T 轉換為二叉樹 T1,則 T 中結點的后(根)序序列就是 T1 中結點的 __(27)__ 遍歷序列。例如下圖(a)所示的有序樹轉化為二叉樹后如圖(b)所示。 
(27)A.先序
B.中序
C.后序
D.層序
● 從數據庫管理系統的角度看,數據庫系統一般采用三級模式結構,如下圖所示。
圖中①②處應填寫 __(28)__ ,③處應填寫 __(29)__ 。 
(28)A.外模式/概念模式
B.概念模式/內模式
C.外模式/概念模式映象
D.概念模式/內模式映象
(29)A.外模式/概念模式
B.概念模式/內模式
C.外模式/概念模式映象
D.概念模式/內模式映象
● 假設職工 EMP(職工號, 姓名, 性別,進單位時間,電話),職務 JOB(職務,月薪)和部門 DEPT(部門號,部門名稱,部門電話,負責人)實體集,若一個職務可以由多個職工擔任,但一個職工只能擔任一個職務,并屬于一個部門,部門負責人是一個職工。圖中EMP和JOB 之間為 __(30)__ 聯系;假設一對多聯系不轉換為一個獨立的關系模式,那么生成的關系模式 EMP 中應加入 __(31)__ 關系模式的主鍵,則關系模式 EMP 的外鍵為 __(32)__ 。
(30)A.1 1
B.1 *
C. * 1
D.* *
(31)A.DEPT
B.EMP
C.JOB
D.DEPT、JOB
(32)A.部門號和職工號
B.部門號和職務
C.職務和負責人
D.部門號和負責人
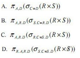
● 若關系R、S如下圖所示,則R
S后的屬性列數和元組個數分別為__(33)__;π1,4(σ3=6(R×S))=__(34)__;R÷S=__(35)__。 
(33)A.4和3
B.4和6
C. 6和3
D.6和6


軟考備考資料免費領取
去領取
專注在線職業教育24年