摘要:以下是由希賽網整理的2007年上半年數據庫系統工程師考試上午真題,希望對大家備考有所幫助。
以下是由希賽網整理的2007年上半年數據庫系統工程師考試上午真題,希望對大家備考有所幫助。
● 企業職工和部門的關系模式如下所示,其中部門負責人也是一個職工。
職工(職工號,姓名,年齡,月薪,部門號,電話,地址)
部門(部門號,部門名,電話,負責人代碼,任職時間)
請將下面的 SQL 語句空缺部分補充完整。
CREATE TABLE 部門(部門號 CHAR(4) PRIMARY KEY,部門名 CHAR(20),電話 CHAR(13),負責人代碼 CHAR(5),任職時間 DATE,
FOREIGN KEY __(37)__ );
查詢比軟件部所有職工月薪都要少的職工姓名及月薪的 SQL 語句如下:
SELECT 姓名, 月薪 FROM 職工
WHERE 月薪< ( SELECT __(38)__ FROM 職工
WHERE 部門號 = __(39)__ ) ;
(37)A.(電話) REFERENCES 職工電話)
B.(部門號) REFERENCES 部門(部門號)
C.(部門號) REFERENCES 職工(部門號)
D.(負責人代碼) REFERENCES 職工(職工號)
(38)A.月薪
B.ALL(月薪)
C.MIN(月薪)
D.MAX(月薪)
(39)A.職工.部門號 AND 部門名 = ’軟件部’
B.職工.部門號 AND 部門.部門名 = ’軟件部’
C.部門.部門號 AND 部門名 = ’軟件部’
D.( SELECT 部門號 FROM 部門 WHERE 部門名 = ’軟件部’ )
● 給定關系模式 R(U,F),U={A,B,C,D,E},F={B→A, D→A, A→E, AC→B},其候選關鍵字為 __(40)__ ,則分解p={R1(ABCE),R2(CD)} 滿足__(41)__ 。
(40)A.ABD
B.ADE
C.ACD
D.CD
(41)A.具有無損連接性、保持函數依賴
B.不具有無損連接性、保持函數依賴
C.具有無損連接性、不保持函數依賴
D.不具有無損連接性、不保持函數依賴
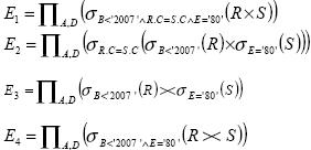
● 若有關系模式 R(A,B,C)和 S(C,D,E),關系代數表達式E1、E2、E3和E4,且 如果嚴格按照表達式運算順序,查詢效率較高的是__(42)__。 
(42)A.E1
B.E2
C.E3
D.E4
● “一旦事務成功提交,其對數據庫的更新操作將一直有效,即使數據庫發生故障”,這一性質是指事務的 __(43)__ 。
(43)A.原子性
B.一致性
C.隔離性
D.持久性
● 在事務處理的過程中,DBMS 把事務開始、事務結束以及對數據庫的插入、刪除和修改的每一次操作寫入 __(44)__ 文件。
(44)A.日志
B.目錄
C.用戶
D.系統
● 事務 T1、T2、T3 分別對數據D1、D2和D3并發操作如下所示,其中 T1 與 T2間并發操作 __(45)__ ,T2 與 T3 間并發操作 __(46)__ 。 
(45)A.不存在問題
B.將丟失修改
C.不能重復讀
D.將讀“臟”數據
(46)A.不存在問題
B.將丟失修改
C.不能重復讀
D.將讀“臟”數據
● 輸入數據違反完整性約束導致的數據庫故障屬于 __(47)__。
(47)A.事務故障
B.系統故障
C.介質故障
D.網絡故障
● 在有事務運行時轉儲全部數據庫的方式是 __(48)__ 。
(48)A.靜態增量轉儲
B.靜態海量轉儲
C.動態增量轉儲
D.動態海量轉儲
● 對于數據庫恢復,下列描述正確的是 __(49)__ 。
(49)A.介質故障的恢復不需要 DBA 的參與,由 DBMS 自動完成
B.日志文件嚴格按照事務的請求時間順序進行記錄
C.事務故障恢復時需要逆向掃描日志對未完成事務進行 UNDO 操作
D.檢查點時刻的數據庫一定是處于一致性狀態的
● 為防止非法用戶進入數據庫應用系統,應采用的安全措施是 __(50)__ 。
(50)A.授權機制
B.視圖機制
C.數據加密
D.用戶標識與鑒別
● 要使用戶張先生只能查詢表 A 中的部分記錄,應采取的策略是 __(51)__。
(51)A.構建該部分記錄的行級視圖,并將該視圖的查詢權限賦予張先生
B.將表 A 的查詢權限賦予張先生
C.編寫查詢表 A 的存儲過程
D.將張先生的用戶級別設定為 DBA
● 如果數據庫應用系統的用戶表中存有用戶登錄口令,則應該 __(52)__ 。
(52)A.撤銷任何用戶對用戶表的訪問權限,限止登錄口令泄漏
B.對用戶登錄口令進行加密存儲
C.只允許 DBA 直接查看登錄口令
D.將用戶記錄的操作權限僅賦予該用戶本人
● 需求分析階段要生成的文檔是 __(53)__和數據字典。
(53)A.數據流圖
B.E-R 圖
C.UML 圖
D.功能模塊圖
● 有關概念結構設計,下列說法正確的是__(54)__ 。
(54)A.概念結構設計是應用程序模塊設計的基礎
B.概念結構設計只應用到數據字典
C.概念結構設計與具體 DBMS 無關
D.概念結構設計就是確定關系模式
● 存在非主屬性部分依賴于碼的關系模式屬于__(55)__。
(55)A.1NF
B.2NF
C.3NF
D.BCNF
● __(56)__不屬于數據庫邏輯結構設計的任務。
(56)A.規范化
B.模式分解
C.模式合并
D.創建視圖
● 數據倉庫的多維數據模式中不包括 __(57)__ 。
(57)A.星型模式
B.雪花模式
C.鏈狀模式
D.事實星狀模式
● OLAP 與 OLTP 的區別是 __(58)__。
(58)A.OLAP 針對數據庫,OLTP 針對數據倉庫
B.OLAP 要求處理影響時間快,OLTP 要求響應時間合理
C.OLAP 主要用于更新事務,OLTP 用于分析數據
D.OLAP 面向決策人員,OLTP 面向操作人員
● 分布式數據庫的場地自治性訪問的是 __(59)__ 。
(59)A.全局外層
B.全局概念層
C.局部概念層
D.局部內層
● 針對分布式事務,要求提供參與者狀態的協議是 __(60)__ 。
(60)A.一次封鎖協議
B.兩段鎖協議
C.兩階段提交協議
D.三階段提交協議
● 并行數據庫體系結構中具有獨立處理機、內存和磁盤的是__(61)__結構。
(61)A.共享內存
B.共享磁盤
C.無共享
D.共享內存和磁盤
● 首先提出支持面向對象數據模型的 SQL 標準是 __(62)__ 。
(62)A.SQL86
B.SQL89
C.SQL92
D.SQL99
● 面向對象數據模型中不包含__(63)__。
(63)A.屬性集合
B.方法集合
C.消息集合
D.對象實例
● 某高校學生管理系統的新生數據取自各省招生辦公室的考生信息,篩選出錄取本校的考生信息直接導入,再根據錄取專業劃分班級并生成學號(學號的前四位與所在班級編號相同)。學校的學生管理業務多以班級和學生為單位處理,應對學生信息表__(64)__以減少 I/O 訪問次數,提高系統性能。
設該系統的學生關系模式為:學生(學號,姓名,性別,出生日期,身份證號,籍貫,家庭所在地),在該系統運行過程中,DBA 發現頻繁訪問學生關系的查詢程序只涉及到學號、姓名、性別和出生日期屬性,為提高該查詢程序的性能,應 __(65)__。
(64)A.建立學號的普通索引
B.建立學號的 UNIQUE 索引
C.建立學號的 CLUSTER 索引
D.按學號進行 HASH 分布
(65)A.直接修改該查詢程序
B.分解學生關系為學生 1(學號,姓名,性別,出生日期)和學生 2(學號,身份證號,籍貫,家庭所在地),并修改該查詢程序
C.分解學生關系為學生 1(學號,姓名,性別,出生日期)和學生 2(學號,身份證號,籍貫,家庭所在地),并構建“學生”視圖,該查詢程序不做修改
D.創建學生關系上的視圖 學生 1(學號,姓名,性別,出生日期),該查詢程序不做修改
● 關于路由器,下列說法中錯誤的是__(66)__ 。
(66)A.路由器可以隔離子網,抑制廣播風暴
B.路由器可以實現網絡地址轉換
C.路由器可以提供可靠性不同的多條路由選擇
D.路由器只能實現點對點的傳輸
● 關于 ARP 表,以下描述中正確的是 __(67)__ 。
(67)A.提供常用目標地址的快捷方式來減少網絡流量
B.用于建立 IP 地址到 MAC 地址的映射
C.用于在各個子網之間進行路由選擇
D.用于進行應用層信息的轉換
● 分配給某校園網的地址塊是 202.105.192.0/18,該校園網包含 __(68)__ 個 C 類網絡。
(68)A.6
B.14
C.30
D.62
● 在 Windows 操作系統中,采用 __(69)__ 命令來測試到達目標所經過的路由器數目及 IP 地址。
(69)A.ping
B.tracert
C.arp
D.nslookup
● 以下關于 DHCP 服務的說法中正確的是__(70)__ 。
(70)A.在一個子網內只能設置一臺 DHCP 服務器,以防止沖突
B.在默認情況下,客戶機采用最先到達的 DHCP 服務器分配的 IP 地址
C.使用 DHCP 服務,無法保證某臺計算機使用固定 IP 地址
D.客戶端在配置時必須指明 DHCP 服務器 IP 地址,才能獲得 DHCP 服務
● __(71)__analysis emphasizes the drawing of pictorial system models to document andvalidate both existing and/or proposed systems. Ultimately, the system models become the__(72)__for designing and constructing an improved system. __(73)__is such a technique. Theemphasis in this technique is process-centered. Systems analysts draw a series of processmodels called __(74)__. __(75)__is another such technique that integrates data and processconcerns into constructs called objects.
(71)A.Prototyping
B.Accelerated
C.Model-driven
D.Iterative
(72)A.image
B.picture
C.layout
D.blueprint
(73)A.Structured analysis
B.Information Engineering
C.Discovery Prototyping
D.Object-Oriented analysis
(74)A.PERT
B.DFD
C.ERD
D.UML
(75)A.Structured analysis
B.Information Engineering
C.Discovery Prototyping
D.Object-Oriented analysis
軟考備考資料免費領取
去領取
專注在線職業教育24年