>>點擊進入數據庫系統工程師在線網絡課堂 >>>點擊進入數據庫系統工程師在線題庫 以下是由希賽網整理的2006年上半年數據庫系統工程師考試下午真題,希望對大家備考有所幫助。"/>
摘要:>>>點擊進入數據庫系統工程師在線網絡課堂 >>>點擊進入數據庫系統工程師在線題庫 以下是由希賽網整理的2006年上半年數據庫系統工程師考試下午真題,希望對大家備考有所幫助。
以下是由希賽網整理的2006年上半年數據庫系統工程師考試下午真題,希望對大家備考有所幫助。
● 閱讀下列說明以及數據流圖,回答問題1、問題2和問題3,將解答填入答題紙的對應欄內。
【說明】
某學校建立了一個網上作業提交與管理系統,基本功能描述如下:
(1)帳號和密碼。任課老師用帳號和密碼登錄系統后,提交所有選課學生的名單。系統自動為每個選課學生創建登錄系統的帳號和密碼。
(2)作業提交。學生使用帳號和密碼登錄系統后,可以向系統申請所選課程的作業。系統首先檢查學生的當前狀態,如果該學生還沒有做過作業,則從數據庫服務器申請一份作業。若申請成功,則顯示需要完成的作業。學生需在線完成作業,單擊“提交”按鈕上交作業。
(3)在線批閱。系統自動在線批改作業,顯示作業成績,并將該成績記錄在作業成績統計文件中。
【問題1】(3分)
如果將數據庫服務器(記為DB)作為一個外部實體,那么在繪制該系統的數據流圖時,還應有哪些外部實體和數據存儲?
【問題2】(7分)
根據說明結合問題1的解答,指出在該系統的頂層數據流圖中應有哪些數據流。請采用說明中的詞匯給出這些數據流的起點、終點以及數據流名稱,下表給出了數據流的部分信息,請填充空缺處。

【問題3】(5分)
根據數據流圖的設計原則,閱讀下圖所示的數據流圖,找出其中的錯誤之處。

● 閱讀下列說明,回答問題1至問題5。將解答填入答題紙的對應欄內。
【說明】
某企業網上銷售管理系統的數據庫部分關系模式如下所示:
客戶〔客戶號,姓名,性別,地址,郵編)
產品(產品號,名稱,庫存,單價)
訂單(訂單號,時間,金額,客戶號)
訂單明細(訂單號,產品號,數量)
關系模式的主要屬性及約束如表2-1所示。 
客戶、產品、訂單和訂單明細關系及部分數據分別如表2-2、2-3、2-4、2-5所示。 
【問題1】以下是創建部分關系表的SQL語句,請將空缺部分補充完整。
CREATE TABLE客戶(
客戶號CHAR(5) (a)
姓名CHAR(30),
性別CHAR(2) (b)
地址CHAR(30),
郵編CHAR(6));
CREATE TABLE訂單(
訂單號CHAR(4),
時間CHAR(10),
金額NUMBER(6,2),
客戶號CHAR(5)NOTNULL,
PRIMARYKEY(訂單號),
(c) );
【問題2】請根據如下查詢語句,回答問題(d),(e)和(f)
SELECT 客戶號
FROM 訂單,訂單明細
WHERE訂單明細.訂單號=訂單.訂單號AND
產品號=’02’ AND
數量>10;
(d)上述查詢語句的功能是什么?請簡要回答。(30個字以內)
(e)將上述查詢語句轉換成對應的關系代數表達式。
【問題3】按題意將下述SQL查詢語句的空缺部分補充完整。
按客戶購買總額的降序,輸出每個客戶的客戶名和購買總額。
SELECT 客戶.客戶名, (g)
FROM 客戶,訂單
WHERE 客戶.客戶號=訂單.客戶號
(h)
(i) ;
【問題4】用SQL語句完成下述要求.
(1)定義一個描述訂單的客戶號和對應訂單明細中產品號關系的視圖:客戶產品(客戶號,產品號)。
(2)借助(1)所定義的視圖,查詢至少購買了01號客戶購買的所有產品的客戶號。
SELECT客戶號
FROM客戶產品 客戶產品1
WHERE (j)
(SELECT *
FROM客戶產品 客戶產品2
WHERE (k)
(SELECT *
FROM客戶產品 客戶產品3
WHERE (1) ));
【問題5】當一個訂單和對應的訂單明細數據入庫時,應該減少產品關系中相應的產品庫存,為此應該利用數據庫管理系統的什么機制實現功能?請用100字以內的文字簡要說明。
● 閱讀下列說明,回答問題1至問題4,將解答填入答題紙的對應欄內。
【說明】
某單位資料室需要建立一個圖書管理系統,初步的需求分析結果如下:
(1)資料室有圖書管理員若干名,他們負責已購入圖書的編目和借還工作,每名圖書管理員的信息包括工號和姓名。
(2)讀者可在閱覽室讀書,也可通過圖書流通室借還圖書,讀者信息包括讀者ID、姓名、電話和Email,系統為不同讀者生成不同的讀者ID;
(3)每部書在系統中對應惟一的一條圖書在版編目數據(CIP,以下簡稱書目),書目的基本信息包括ISBN號、書名、作者、出版商、出版年月,以及本資料室擁有該書的冊數(以下簡稱冊數),不同書目的ISBN號不相同。
(4)資料室對于同一書目的圖書可擁有多冊(本),圖書信息包括圖書ID、ISBN號、存放位置、當前狀態,每一本書在系統中被賦予惟一的圖書ID。
(5)一名讀者班多只能借閱十本圖書,且每本圖書最多只能借兩個月。讀者借書時需由圖書管理員登記讀者ID,所借圖書ID,借閱時間和應還時間,讀者還書時圖書管理員在對應的借書信息中記錄歸還時間。
某書目的信息如表3-1所示,與該書目對應的圖書信息如表3-2所示:
系統的主要業務處理如下:
(1)入庫管理:圖書購進入庫時,管理員查詢本資料室的書目信息,若該書的書目尚未建立,則由管理員編寫該書的書目信息并錄入系統,然后編寫并錄入圖書信息;否則,修改該書目的冊數,然后編寫并錄入圖書信息,對于進入流通室的書,其初始狀態為“未借出”,而送入閱覽室的書的狀態始終為“不外借”。
(2)借書管理:讀者借書時,若有,則由管理員為該讀者辦理借書手續,并記錄該讀者的借書信息,同時將借出圖書的狀態修改為“已借出”。
(3)還書管理:讀者還書時,則記錄相應借還信息中的“歸還時間”,對于超期歸還者,系統自動計算罰金(具體的計算過程此處省略)。同時修改該圖書的狀態為“未借出”。
(4)通知處理:對于已到期且未歸還的圖書,系統通過Email自動通知讀者。
【問題1】
根據以上說明設計的實體聯系圖3-1所示,請指出讀者與圖書、書目與圖書之間的聯系類型。

【問題2】(2分)
該圖書管理系統的主要關系模式如下,請補充“借還記錄”關系中的空缺。
管理員(工號,姓名)
讀者(讀者ID, 姓名,電話,Email)
書目(ISBN號,書名,作者,出版商,出版年月,冊數,經辦人)
圖書(圖書ID,ISBN號,存放位置,狀態,經辦人)
借還記錄( (a) ,借出時間,應還時間,歸還時間)
注:時間格式為“年.月.日 時:分:秒”
【問題3】 (4分)
請指出問題2中給出的讀者、書目關系模式的主鍵,以及圖書和借還記錄關系模式的主鍵和外鍵。
【問題4】(7分)
若系統增加新的預約需求,其業務處理描述如下:
若圖書流通室沒有讀者要借的書,則可為該讀者建立預約登記,需要記錄讀者ID.書的ISBN號、預約時間和預約期限(最長為10天)一旦其他讀者歸還這種書,系統將自動查詢預約登記表,若存在有讀者預約該書的記錄。則將該圖書的狀態修改為“已預約”,并將該圖書ID寫入相應的預約記錄中(系統在清除超出預約期限的記錄時解除該圖書的“已預約”標志),同時通過Email通知該預約讀者辦理借閱手續。對于超出預約期限的預約記錄,系統將自動清除。
為滿足上述需要,應對圖3-1所示的實體聯系圖如何修改或補充,請給出修改后的實體聯系圖,并對關系模式做相應的修改或補充,指出新增關系模式的主鍵和外鍵。
● 閱讀下列說明,回答問題1至問題4,將解答填入答題紙的對應欄內。
【說明】
某保險公司需要管理用戶投保的相關信息,擬建立針對投保數據、險種數據、繳費數據的管理系統。系統需求分析情況如下:
1.投保單是締結保險合同的重要依據,需填寫投保人、被保險人、受益人資料等信息。投保單格式如下所示:
2.該公司需要管理險種信息以供查詢。險種信息包括:險種名稱、承保年齡、保險利益、繳費方式、保險費、保險特點等信息。示例如下:
3.業務處理過程。用戶可通過網絡查詢險種,并選擇投保的險種。用戶直接填寫投保書,經過業務員審核通過后,請投保人簽字,井由業務員確認投保書。業務員按月查詢用戶的繳費記錄,以便生成相應的繳費通知單。
初步設計的關系模式如下所示:
投保單(投保書號,投保人客戶號,被保人客戶號,險種名稱,身故受益人姓名。受益順序,受益人身份證號碼,業務員姓名,業務員聯系方式,投保日期)
客戶信息(客戶號,姓名,性別,山生日期,身份證號碼,聯系地址,郵政編碼)
繳費記錄(投保書號,繳費月份,繳費金額,欠款,節余,滯納金)
險種信息(險種名稱,承保年齡,保險利益,繳費方式,保險費,保險特點)
注:投保單關系中,投保人客戶號和被保人客戶號是外鍵,依賴于客戶信息關系的主鍵“客戶號”。
【問題1】給出上述各關系模式的主鍵,以及投保單關系模式的函數依賴。
【問題2】給出投保單關系模式可能存在的更新異常和多值依賴,并簡要說明。
【問題3】分析投保單關系模式屬于第幾范式,并簡單說明原因。修改上述關系模式,以達到4NF。
【問題4】公司需要查詢每個業務員每月完成的保單總金額,根據業務員月保單總金額分檔,設定不同的提成比例,以便計算業務員月獎金。對上述的數據庫模式如何修改或補充,以滿足需求。
● 閱讀下列說明,回答問題1至問題4,將解答填入答題紙的對應欄內
【說明】
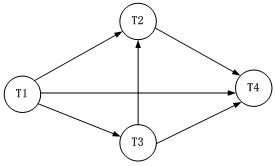
現有一個事務集{T1,T2,T3,T4},其中這四個事務在運行過程中需要讀寫X、Y和Z。設Ti對X的讀操作記作TiR(X),Ti對X的寫操作記作TiW(X)。
事務對XYZ的訪問情況如下:
T1:T1R(x)
T2:T2R(Y),T2W(X)
T3:T3W(Y),T3W(X),T3W(Z)
T4:T4R(Z),T4W(X)
【問題1】試述事務并發高度的正確性準則及其內容(4分)
【問題2】請判斷如下高度是否正確。(4分)
T3W(Y),TIR(X),T2R(Y),T3W(X),T2W(X),T3W(Z),T4R(Z),T4W(X)
按這種調度產生的事務依賴關系圖如下:

【問題3】給出與【問題2】中調度等價的一個串行調度序列。(3分)
【問題4】采用何種加鎖策略能夠保證事務調度的正確性,簡述其內容。(4分)
軟考備考資料免費領取
去領取
專注在線職業教育24年