摘要:以下是由希賽網整理的2016年上半年程序員考試上午真題,希望對備考程序員考試的考生有所幫助。
2016年上半年程序員考試上午真題:
● 下列操作系統中,( )主要特性是支持網絡系統的功能,并具有透明性。(27)
(27)A.批處理操作系統
B.分時操作系統
C.分布式操作系統
D.實時操作系統
● 一個應用軟件的各個功能模塊可采用不同的編程語言來編寫,分別編譯并產生( ),再經過( )后形成在計算機上運行的可執行程序。(28)
(28)A.源程序
B.目標程序
C.匯編程序
D.子程序
(29)A.匯編
B.反編譯
C.預處理
D.鏈接
● 函數調用時若實參是數組名,則是將( )傳遞給對應的形參。(30)
(30)A.數組元素的個數
B.數組所有元素的拷貝
C.數組空間的起始地址
D.數組空間的大小
● 函數main__(31)__、test__(32)__的定義如下所示,調用函數test時,第一個參數采用傳值方式,第二個參數采用傳引用方式,main函數中"print(x,y)”執行后,輸出結果為( )。
(31)A.1,5
B.3,5
C.7,5
D.7,10
● 與算術表達式3 - (2+7) /4對應的二叉樹為( )。
(32)A.
B.
C.
D.
● 遞歸函數執行時,其調用和返回控制是利用( )來進行的。(33)
(33)A.棧
B.對列
C.數組
D.樹
● 對于長度為n的線性表(即n個元素構成的序列),若采用順序存儲結構(數組存儲),則在等概率下,刪除一個元素平均需要移動的元素數為( )。(34)
(34)A.n
B.(n-1)/2
C. N/2
D.Log n
● 設有初始力空的棧s,對于入棧序列a、b、c、d,經由一個合法的進棧和出棧操作序列后(每個元素迸棧、出棧各1次),以c作為第一個出棧的元素時,不能得到的序列為( )。(35)
(35)A. c d b a
B.c b d a
C.c d a b
D.c b a d
● 隊列采用如下圖所示的循環單鏈表表示,圖(a)表示隊列為空,圖(b)為e1、e2.e3依次入隊列后的狀態,其中,rear指針指向隊尾元素所在結點,size為隊列長度。以下敘述中,正確的是( )。
(36)
(36)A.入隊列時需要從頭至尾遍歷鏈表,而出隊列不需要
B.出隊列時需要從頭至尾遍歷鏈表,而入隊列不需要
C.新元素加入隊列以及隊頭元素出隊列都需要遍歷鏈表,
D.入隊列和出隊列操作都不需要遍歷鏈表
● 對二叉樹中的結點如下編號:樹根結點編號為1,根的左孩子結點編號為2、右孩子結點編號為3,依此類推,對于編號為i的結點,其左孩子編號為2i、右孩子編號為2i+1。例如,下圖所示二叉樹中有6個結點,結點a、b、c、d、e、f的編號分別為1、2、3、5、7、11。那么,當結點數為n(n>0)的( )時,其最后一個結點編號為2i-1
(37)
(37)A.二叉樹為滿二叉樹(即每層的結點數達到最大值)
B.二叉樹中每個內部結點都有兩個孩子
C.二叉樹中每個內部結點都只有左孩子
D.二叉樹中每個內部結點都只有右孩子
● 某二叉樹的先序遍歷序列為ABCDFGE,中序遍歷序列為BAFDGCE。以下關于該二叉樹的敘述中,正確的是( )。(38)
(38)A.該二叉樹的高度(層飲數)為4
B.該二叉樹中結點D是葉子結點
C.該二叉樹是滿二叉樹(即每層的結點數達到最大值)
D.該二叉樹有5個葉子結點
● 對于關鍵碼序列(54,34,5,14,50,36,47,83),用鏈地址法(或拉鏈法)解決沖突構造散列表(即將沖突的元素存儲在同一個單鏈表中,單鏈表的頭指針存入散列地址對應的單元),設散列函數為H(Key)=Key MOD 7(MOD表示整除取余運算),則構造散列表時沖突次數最多的哈希單元的地址是( )。(39)
(39)A.O
B.1
C.5
D.6
● 某圖G的鄰接矩陣如下所示。以下關于該圖的敘述中,錯誤的是( )。
(40)
(40)A.該圖存在回路(環)
B.該圖為完全有向圖
C.圖中所有頂點的入度都大于0
D.圖中所有頂點的出度都大于0
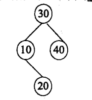
● 設有二叉排序樹如下圖所示,根據關鍵碼序列( )構造出該二叉排序樹。
(41)
(41)A.30 20 10 40
B.30 40 20 10
C.30 20 40 10
D.30 40 10 20
● 對n個記錄進行非遞減排序,在第一趟排序之后,一定能把關鍵碼序列中的最大或最小元素放在其最終排序位置上的排序算法是( )(42)
(42)A.冒泡排序
B.快速排序
C.直接插入排序
D.歸并排序
● 對于n個元素的關鍵碼序列{k1,k2,…,Kn},當且僅當滿足下列關系時稱其為堆。
以下關鍵碼序列中,( )不是堆。(43)
(43)A.12, 25, 22, 53, 65, 60, 30
B.12, 25, 22, 30, 65,60, 53
C.65, 60,25, 22, 12, 53, 30
D.65,60, 25, 30, 53, 12,22
● 對象、類、繼承和消息傳遞是面向對象的4個核心概念。其中對象是封裝( )的整體。(44)
(44)A.命名空間
B.要完成任務
C.一組數據
D.數據和行為
● UML由三個要素構成:UML的基本構造塊、支配這些構造塊如何放置在一起的規則、用于整個語言的公共機制。UML的詞匯表包含三種構造塊:事物、關系和圖。類、接口、構件屬于( )構造塊。泛化和聚集等是( )。將多邊形與三角形、四邊形分別設計為類,多邊形類與三角形之間是( )關系。(45)
(45)A.事物
B.關系
C.規則
D.圖
(46)A.事物
B.關系
C.規則
D.圖
(47)A.關聯
B.依賴
C.聚集
D.泛化
● 創建型設計模式抽象了實例化過程,有助于系統開發者將對象的創建、組合和表示方式進行抽象。以下( ))模式是創建型模式。(48)
(48)A.組合(Composite)
B.裝飾器(Decorator)
C.代理(Proxy)
D.單例(Singleton)
● 以下流程圖中,至少設計( )—個測試用例可以分別滿足語句覆蓋和路徑覆蓋。
(49)
(49)A.1和2
B.1和4
C.2和2
D.2和4
● 某一資格考試系統的需求為:管理辦公室發布考試資格條件,考生報名,系統對考試資格審查,并給出資格審查信息;對符合資格條件的考生,管理辦公室給出試題,考生答題,管理辦公室給出答案,系統自動判卷,并將考試結果發給考生。根據該需求繪制數據流圖,則( )是外部實體,( )是加工。(50)
(50)A.考生
B.試題
c.資格審查
D.考試資格條件
(51)A.考生
B.試題
C.資格審查
D.考試資格條件
● 由于設計缺陷和編碼缺陷對已經運行的軟件系統進行修改,此行為屬于( )維護。(52)
(52)A.改正性
B.適應性
c.完善性
D.預防性
● IT企業對專業程序員的素質要求中,不包括( )。(53)
(53)A.能千方百計縮短程序提高運行效率
B.與企業文化高度契合
C.參與軟件項目開發并解決所遇到的問題
D.誠信、聰明、肯干
● 以下關于軟件開發相關的敘述中,不正確的是( )。(54)
(54)A.專業程序員應將復雜的問題分解為若干個相對簡單的易于編程的問題
B.移動互聯網時代的軟件開發人員應注重用戶界面設計,提高用戶體驗
C.軟件測試時應對所有可能導致軟件運行出錯的情況都進行詳盡的測試
D.軟件設計者應有敏銳的產品感覺,不因枝節而影響產品的迭代和上線。
● 軟件文檔的作用不包括( )。(55)
(55)A.有利于提高軟件開發的可見度
B.有利于軟件維護和用戶使用
C.有利于總結經驗和實現可重用
D.有利于各企業之間交流技術
軟考高項紙質版資料領取活動來啦!
活動截止12月15日
趕緊掃碼參與活動吧!
熱門:信息系統監理師備考 | 網絡工程師備考 | 軟件設計師備考
推薦:信息系統項目管理師網絡課堂 | 2025下半年軟考真題答案及解析
課程:信息系統項目管理師報考指南 | PMP課程
軟考備考資料免費領取
去領取
專注在線職業教育24年