摘要:希賽網為大家整理了2017下半年程序員考試上午真題,以下為第一部分,2017年下半年程序員考試上午真題5
希賽網為大家整理了2017下半年程序員考試上午真題,以下為第一部分。
2017年下半年程序員考試上午真題
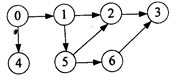
41~42. 對于下面的有向圖,其鄰接矩陣是一個( ) 的矩陣, 采用鄰接鏈表存儲時,頂點。的表結點個數為 2. 頂點 3 的表結點個數為 O. 頂點 的表結點個數為( )

A.3X4 A.0
B.4X3 B.1
C.6X6 C.2
D.7X7 D.3
43. 對n個關鍵碼構成的序列采用直接插入排序法進行升序排序的過程是:在插入第i個關鍵碼 k; 時,其前面的 í-1個關鍵碼己排好序,因此令 ki 與 ki•1 、ki_2 、...,依次比較最多到 k1 為止,找到插入位置并移動相關元素后將ki 插入有序子序列的適當位置, 完成本趟(忡地〉排序。以下關于直接插入排序的敘述中,正確的是( )
A. 若原關鍵碼序列已經升序排序,則排序過程中關鍵碼間的比較次數最少
B.若原關鍵碼序列已經降序排序,則排序過程中關鍵碼間的比較次數最少
c. 第 1趟完成后即可確定整個序列的最小關鍵碼
D. 第 1趟完成后即可確定整個序列的最大關鍵碼
44~45. 采用面向對象程序設計語言c+斗/Java 進行系統實現時,定義類 S 及其子類 D。若類 S 中已經定義了一個虛方法國伽(int a,int b) ,則方法( )不能同時在類 S 中。D 中定義方法 int fun(int a,int b) ,這一現象稱為( )
A. int fun(int x,doub1e y)
B. int fun(double a, int b)
c. double fun(int x,double y)
D.int fun(int x,int y)
A.覆蓋/重置
B.封裝
C.重載/過載
D.多態
46~47. UML中行為事物是模型中的動態部分,采用動詞描述跨越時間和空間的為( )屬于行為事物,它描述了( )
A.包
B.狀態機
C.注釋
D.構件
A. 在特定需境中共同完成一定任務的一組對象之間交換的消息組成
B. 計算機過程執行的步驟序列
c. 一個對象或一個交互在生命期內響應事件所經歷的狀態序列
D. 說明和標注模型的任何元素
48. 行為型設計模式描述類或對象如何交互和如何分配職責。以下( )模式是行為型設計模式
A.裝飾器 (De∞rator)
B.構建器 (Builder)
C.組合(Composite)
D.解釋器(Interpreter)
49~50. 在結構化分析方法中,用于對功能建模的( ) 描述數據在系統中流動和處理
的過程,它只反映系統必須完成的邏輯功能:用于行為建模的模型是( ). 它表達系統或對象的行為
A 數據流圖
B實體聯系圖
C狀態·遷移圖
D用例圖
A數據流圖
B實體聯系圖
C狀態·遷移圖
D用例圖
>>>>進入估分:2017下半年軟考分數早知道,在線估分+真題解析
>>>>點擊查看:2017下半年程序員上午真題答案和解析
軟考備考資料免費領取
去領取
專注在線職業教育24年