摘要:希賽網軟考頻道小編為大家整理了2018年軟件評測師考試上午真題第四部分,供大家參考。
● 以下關于極限編程(XP)的敘述中,正確的是( )。XP的12個最佳實踐不包括( )。
(31)A.XP是激發開發人員創造性、使管理負擔最小的一組技術
B.每一個不同的項目都需要一套不同的策略、約定和方法論
C.多個自組織和自治小組并行地遞增實現產品
D.有一個使命作為指導,它設立了項目的目標,但并不描述如何達到這個目標
(32)A.重構
B.結對編程
C.精心設計
D.隱喻
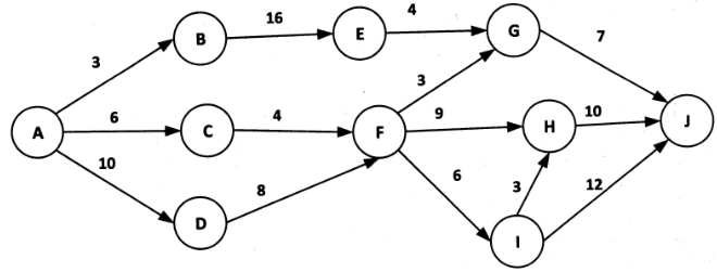
● 某軟件項目的活動圖如下圖所示,其中頂點表示項目里程碑,連接頂點的邊表示包含的活動,邊上的數字表示活動的持續時間(天),則完成該項目的最少時間為( )天。活動FG的松弛時間為( )天。

(33)A.20
B.30
C.36
D.37
(34)A.1
B.8
C.9
D.17
● 以下關于軟件項目工作量估算的敘述中,不正確的是( )。
(35)A.希賽網估計方法受到希賽網的背景知識和經驗的影響
B.復雜的模型不一定更準確
C.機器學習方法可以準確估算項目工作量
D.多種方法結合可以在某種程度上提高估算精度
● 結構化分析的輸出不包括( )。
(36)A.數據流圖
B.數據字典
C.加工邏輯
D.結構圖
● 以下關于數據流圖的敘述中,不正確的是( )。
(37)A.分層數據流圖可以清晰地對稍微復雜一些的實際問題建模
B.用來描述數據流從輸入到輸出的變換流程
C.能清晰地表達加工的處理過程
D.不能表示實體之間的關系
● 軟件設計一般包括概要設計和詳細設計,其中概要設計不包括( )。
(38)A.體系結構設計
B.模塊劃分
C.數據結構設計
D.模塊之間的接口設計
● MVC模式(模型-視圖-控制器)是軟件工程中的一種軟件架構模式,把軟件系統分為模型、視圖和控制器三個部分。( )不屬于MVC模式的優點。
(39)A.低耦合性
B.高重用性
C.可維護性
D.高運行效率
● 某系統中有一個中央數據存儲,模塊A負責接收新來的數據并修改中央數據存儲中的數據,模塊B負責訪問中央數據存儲中的數據則這兩個模塊之間的耦合類型為( )。若將這兩個模塊及中央數據合并成一個模塊,則該模塊的內聚類型為( )。
(40)A.數據
B.標記
C.控制
D.公共
(41)A.邏輯
B.時間
C.通信
D.功能
相關推薦:2018年軟件評測師真題匯總
軟考備考資料免費領取
去領取
專注在線職業教育24年